Сортамент подшипников качения размеры: Подшипники размеры таблица
alexxlab | 19.05.1986 | 0 | Разное
Таблица размеров и обозначений шариковых подшипников
| Обозначение ГОСТ | Обозначение ISO | d мм | D мм | B мм | Нагрузка дин. С | Нагрузка стат. С | Скорость смазка | Скорость масло | Вес кг |
|---|---|---|---|---|---|---|---|---|---|
| 100 | 6000 | 10 | 26 | 8 | 4620 | 1960 | 29000 | 34000 | 0,02 |
| 80100 | 6000 ZZ | 10 | 26 | 8 | 4620 | 1960 | 29000 | 34000 | 0,02 |
| 180100 | 6000 2RS | 10 | 26 | 8 | 4620 | 1960 | 19000 | – | 0,02 |
| 101 | 6001 | 12 | 28 | 8 | 5070 | 2360 | 26000 | 30000 | 0,021 |
| 80101 | 6001 ZZ | 12 | 28 | 8 | 5070 | 2360 | 26000 | 30000 | 0,021 |
| 180101 | 6001 2RS | 12 | 28 | 8 | 5070 | 2360 | 17000 | – | 0,021 |
| 102 | 6002 | 15 | 32 | 9 | 5590 | 2850 | 22000 | 26000 | 0,032 |
| 80102 | 6002 ZZ | 15 | 32 | 9 | 5590 | 2850 | 22000 | 26000 | 0,032 |
| 180102 | 6002 2RS | 15 | 32 | 9 | 5590 | 2850 | 16000 | – | 0,032 |
| 103 | 6003 | 17 | 35 | 10 | 6050 | 3250 | 20000 | 24000 | 0,039 |
| 80103 | 6003 ZZ | 17 | 35 | 10 | 6050 | 3250 | 20000 | 24000 | 0,039 |
| 180103 | 6003 2RS | 17 | 35 | 10 | 6050 | 3250 | 12000 | – | 0,039 |
| 104 | 6004 | 20 | 42 | 12 | 9360 | 5000 | 18000 | 21000 | 0,07 |
| 80104 | 6004 ZZ | 20 | 42 | 12 | 9360 | 5000 | 18000 | 21000 | 0,07 |
| 180104 | 6004 2RS | 20 | 42 | 12 | 9360 | 5000 | 10000 | – | 0,07 |
| 105 | 6005 | 25 | 47 | 12 | 11200 | 6550 | 15000 | 18000 | 0,082 |
| 80105 | 6005 ZZ | 25 | 47 | 12 | 11200 | 6550 | 15000 | 18000 | 0,082 |
| 180105 | 6005 2RS | 25 | 47 | 12 | 11200 | 6550 | 9000 | – | 0,082 |
| 106 | 6006 | 30 | 55 | 13 | 13300 | 8300 | 13000 | 15000 | 0,124 |
| 80106 | 6006 ZZ | 30 | 55 | 13 | 13300 | 8300 | 13000 | 15000 | 0,124 |
| 180106 | 6006 2RS | 30 | 55 | 13 | 13300 | 8300 | 7500 | – | 0,124 |
| 107 | 6007 | 35 | 62 | 14 | 15900 | 10200 | 12000 | 14000 | 0,161 |
| 80107 | 6007 ZZ | 35 | 62 | 14 | 15900 | 10200 | 12000 | 14000 | 0,161 |
| 180107 | 6007 2RS | 35 | 62 | 14 | 15900 | 10200 | 6500 | – | 0,161 |
| 108 | 6008 | 40 | 68 | 15 | 16800 | 11600 | 10000 | 12000 | 0,197 |
| 80108 | 6008 ZZ | 40 | 68 | 15 | 16800 | 11600 | 10000 | 12000 | 0,197 |
| 180108 | 6008 2RS | 40 | 68 | 15 | 16800 | 11600 | 5800 | – | 0,197 |
| 109 | 6009 | 45 | 75 | 16 | 20800 | 14600 | 9200 | 11000 | 0,254 |
| 80109 | 6009 ZZ | 45 | 75 | 16 | 20800 | 14600 | 9200 | 11000 | 0,254 |
| 180109 | 6009 2RS | 45 | 75 | 16 | 20800 | 14600 | 5300 | – | 0,254 |
| 110 | 6010 | 50 | 80 | 16 | 21600 | 16000 | 8400 | 9800 | 0,279 |
| 80110 | 6010 ZZ | 50 | 80 | 16 | 21600 | 16000 | 8400 | 9800 | 0,279 |
| 180110 | 6010 2RS | 50 | 80 | 16 | 21600 | 16000 | 4800 | – | 0,279 |
| 111 | 6011 | 55 | 90 | 18 | 28100 | 21200 | 7700 | 9000 | 0,405 |
| 80111 | 6011 ZZ | 55 | 90 | 18 | 28100 | 21200 | 7700 | 9000 | 0,405 |
| 180111 | 6011 2RS | 55 | 90 | 18 | 28100 | 21200 | 4300 | – | 0,405 |
| 112 | 6012 | 60 | 95 | 18 | 29600 | 23200 | 7000 | 8300 | 0,428 |
| 80112 | 6012 ZZ | 60 | 95 | 18 | 29600 | 23200 | 7000 | 8300 | 0,428 |
| 180112 | 6012 2RS | 60 | 95 | 18 | 29600 | 23200 | 4000 | – | 0,428 |
| 113 | 6013 | 65 | 100 | 18 | 30700 | 25000 | 6500 | 7700 | 0,458 |
| 80113 | 6013 ZZ | 65 | 100 | 18 | 30700 | 25000 | 6500 | 7700 | 0,458 |
| 180113 | 6013 2RS | 65 | 100 | 18 | 30700 | 25000 | 3700 | – | 0,458 |
| 114 | 6014 | 70 | 110 | 20 | 37700 | 31000 | 6100 | 7100 | 0,635 |
| 80114 | 6014 ZZ | 70 | 110 | 20 | 37700 | 31000 | 6100 | 7100 | 0,635 |
| 180114 | 6014 2RS | 70 | 110 | 20 | 37700 | 31000 | 3500 | – | 0,635 |
| 115 | 6015 | 75 | 115 | 20 | 39700 | 33500 | 5700 | 6700 | 0,673 |
| 80115 | 6015 ZZ | 75 | 115 | 20 | 39700 | 33500 | 5700 | 6700 | 0,673 |
| 180115 | 6015 2RS | 75 | 115 | 20 | 39700 | 33500 | 3300 | – | 0,673 |
| 116 | 6016 | 80 | 125 | 22 | 47500 | 40000 | 5300 | 6200 | 0,877 |
| 80116 | 6016 ZZ | 80 | 125 | 22 | 47500 | 40000 | 5300 | 6200 | 0,877 |
| 180116 | 6016 2RS | 80 | 125 | 22 | 47500 | 40000 | 3100 | – | 0,877 |
| 117 | 6017 | 85 | 130 | 22 | 49400 | 43000 | 5000 | 5900 | 0,932 |
| 80117 | 6017 ZZ | 85 | 130 | 22 | 49400 | 43000 | 5000 | 5900 | 0,932 |
| 180117 | 6017 2RS | 85 | 130 | 22 | 49400 | 43000 | 2900 | – | 0,932 |
| 118 | 6018 | 90 | 140 | 24 | 58500 | 50000 | 4700 | 5600 | 1,19 |
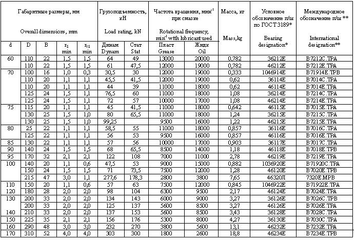
| 80118 | 6018 ZZ | 90 | 140 | 24 | 58500 | 50000 | 4700 | 5600 | 1,19 |
| 180118 | 6018 2RS | 90 | 140 | 24 | 58500 | 50000 | 2700 | – | 1,19 |
| 119 | 6019 | 95 | 145 | 24 | 60500 | 54000 | 4500 | 5300 | 1,247 |
| 80119 | 6019 ZZ | 95 | 145 | 24 | 60500 | 54000 | 4500 | 5300 | 1,247 |
| 180119 | 6019 2RS | 95 | 145 | 24 | 60500 | 54000 | 2500 | – | 1,247 |
| 120 | 6020 | 100 | 150 | 24 | 60500 | 54000 | 4200 | 5000 | 1,34 |
| 80120 | 6020 ZZ | 100 | 150 | 24 | 60500 | 54000 | 4200 | 5000 | 1,34 |
| 180120 | 6020 2RS | 100 | 150 | 24 | 60500 | 54000 | 2400 | – | 1,34 |
| 121 | 6021 | 105 | 160 | 26 | 72800 | 65500 | 4000 | 4700 | 1,69 |
| 80121 | 6021 ZZ | 105 | 160 | 26 | 72800 | 65500 | 4000 | 4700 | 1,69 |
| 180121 | 6021 2RS | 105 | 160 | 26 | 72800 | 65500 | 2300 | – | 1,69 |
| 122 | 6022 | 110 | 170 | 28 | 81900 | 73500 | 3800 | 4500 | 2,023 |
| 80122 | 6022 ZZ | 110 | 170 | 28 | 81900 | 73500 | 3800 | 4500 | 2,023 |
| 180122 | 6022 2RS | 110 | 170 | 28 | 81900 | 73500 | 2200 | – | 2,023 |
| 124 | 6024 | 120 | 180 | 28 | 85200 | 80000 | 3200 | 3800 | 2,213 |
| 80124 | 6024 ZZ | 120 | 180 | 28 | 85200 | 80000 | 3200 | 3800 | 2,213 |
| 180124 | 6024 2RS | 120 | 180 | 28 | 85200 | 80000 | 2100 | – | 2,213 |
| 126 | 6026 | 130 | 200 | 33 | 104000 | 100000 | 3200 | 3800 | 3,27 |
| 80126 | 6026 ZZ | 130 | 200 | 33 | 104000 | 100000 | 3200 | 3800 | 3,27 |
| 180126 | 6026 2RS | 130 | 200 | 33 | 104000 | 100000 | 1900 | – | 3,27 |
| 128 | 6028 | 140 | 210 | 33 | 110000 | 109000 | 3000 | 3500 | 3,547 |
| 80128 | 6028 ZZ | 140 | 210 | 33 | 110000 | 109000 | 3000 | 3500 | 3,547 |
| 180128 | 6028 2RS | 140 | 210 | 33 | 110000 | 109000 | 1800 | – | 3,547 |
| 130 | 6030 | 150 | 225 | 35 | 131000 | 124000 | 2800 | 3200 | 4,88 |
| 80130 | 6030 ZZ | 150 | 225 | 35 | 131000 | 124000 | 2800 | 3200 | 4,88 |
| 180130 | 6030 2RS | 150 | 225 | 35 | 131000 | 124000 | 1600 | – | 4,88 |
| 132 | 6032 | 160 | 240 | 38 | 136000 | 135000 | 2600 | 3000 | 6,073 |
| 80132 | 6032 ZZ | 160 | 240 | 38 | 136000 | 135000 | 2600 | 3000 | 6,073 |
| 180132 | 6032 2RS | 160 | 240 | 38 | 136000 | 135000 | 1500 | – | 6,073 |
| 134 | 6034 | 170 | 260 | 42 | 168000 | 173000 | 2400 | 2800 | 7,175 |
| 80134 | 6034 ZZ | 170 | 260 | 42 | 168000 | 173000 | 2400 | 2800 | 7,175 |
| 136 | 6036 | 180 | 280 | 46 | 180000 | 184000 | 2300 | 2700 | 10,57 |
| 80136 | 6036 ZZ | 180 | 280 | 46 | 180000 | 184000 | 2300 | 2700 | 10,57 |
| 138 | 6038 | 190 | 290 | 46 | 188000 | 200000 | 2100 | 2500 | 11,08 |
| 80138 | 6038 ZZ | 190 | 290 | 46 | 188000 | 200000 | 2100 | 2500 | 11,08 |
| 140 | 6040 | 200 | 310 | 51 | 201000 | 222000 | 2000 | 2400 | 14,1 |
| 80140 | 6040 ZZ | 200 | 310 | 51 | 201000 | 222000 | 2000 | 2400 | 14,1 |
| 144 | 6044 | 220 | 340 | 56 | 247000 | 290000 | 1800 | 2200 | 18,5 |
| 148 | 6048 | 240 | 360 | 56 | 255000 | 315000 | 1700 | 2000 | 20 |
| 152 | 6052 | 260 | 400 | 65 | 291000 | 375000 | 1500 | 1800 | 28,5 |
| 156 | 6056 | 280 | 420 | 65 | 325000 | 420000 | 1400 | 1600 | 31 |
| 160 | 6060 | 300 | 460 | 74 | 355000 | 480000 | 1300 | 1500 | 43,5 |
| 164 | 6064 | 320 | 480 | 74 | 371000 | 540000 | 1200 | 1400 | 46 |
| 168 | 6068 | 340 | 520 | 82 | 423000 | 640000 | 1100 | 1300 | 62 |
| 172 | 6072 | 360 | 540 | 82 | 462000 | 735000 | 1100 | 1200 | 64,5 |
| 176 | 6076 | 380 | 560 | 82 | 470000 | 750000 | 990 | 1200 | 67,5 |
| 180 | 6080 | 400 | 600 | 90 | 520000 | 865000 | 930 | 1100 | 87,5 |
| 184 | 6084 | 420 | 620 | 90 | 530000 | 895000 | 880 | 1000 | 91 |
| 200 | 6200 | 10 | 30 | 9 | 5070 | 2360 | 25000 | 30000 | 0,031 |
| 80200 | 6200 ZZ | 10 | 30 | 9 | 5070 | 2360 | 25000 | 30000 | 0,031 |
| 180200 | 6200 2RS | 10 | 30 | 9 | 5070 | 2360 | 17000 | – | 0,031 |
| 201 | 6201 | 12 | 32 | 10 | 6890 | 3100 | 22000 | 26000 | 0,038 |
| 80201 | 6201 ZZ | 12 | 32 | 10 | 6890 | 3100 | 22000 | 26000 | 0,038 |
| 180201 | 6201 2RS | 12 | 32 | 10 | 6890 | 3100 | 15000 | – | 0,038 |
| 202 | 6202 | 15 | 35 | 11 | 7800 | 3750 | 19000 | 23000 | 0,044 |
| 80202 | 6202 ZZ | 15 | 35 | 11 | 7800 | 3750 | 19000 | 23000 | 0,044 |
| 180202 | 6202 2RS | 15 | 35 | 11 | 7800 | 3750 | 13000 | – | 0,044 |
| 203 | 6203 | 17 | 40 | 12 | 9560 | 4750 | 18000 | 21000 | 0,066 |
| 80203 | 6203 ZZ | 17 | 40 | 12 | 9560 | 4750 | 18000 | 21000 | 0,066 |
| 180203 | 6203 2RS | 17 | 40 | 12 | 9560 | 4750 | 12000 | – | 0,066 |
| 204 | 6204 | 20 | 47 | 14 | 12700 | 6550 | 16000 | 18000 | 0,109 |
| 80204 | 6204 ZZ | 20 | 47 | 14 | 12700 | 6550 | 16000 | 18000 | 0,109 |
| 180204 | 6204 2RS | 20 | 47 | 14 | 12700 | 6550 | 10000 | – | 0,109 |
| 205 | 6205 | 25 | 52 | 15 | 14000 | 7800 | 13000 | 15000 | 0,133 |
| 80205 | 6205 ZZ | 25 | 52 | 15 | 14000 | 7800 | 13000 | 15000 | 0,133 |
| 180205 | 6205 2RS | 25 | 52 | 15 | 14000 | 7800 | 8500 | – | 0,133 |
| 206 | 6206 | 30 | 62 | 16 | 19500 | 11200 | 11000 | 13000 | 0,2 |
| 80206 | 6206 ZZ | 30 | 62 | 16 | 19500 | 11200 | 11000 | 13000 | 0,2 |
| 180206 | 6206 2RS | 30 | 62 | 16 | 19500 | 11200 | 7500 | – | 0,2 |
| 207 | 6207 | 35 | 72 | 17 | 25500 | 15300 | 9800 | 11000 | 0,299 |
| 80207 | 6207 ZZ | 35 | 72 | 17 | 25500 | 15300 | 9800 | 11000 | 0,299 |
| 180207 | 6207 2RS | 35 | 72 | 17 | 25500 | 15300 | 6300 | – | 0,299 |
| 208 | 6208 | 40 | 80 | 18 | 30700 | 19000 | 8700 | 10000 | 0,379 |
| 80208 | 6208 ZZ | 40 | 80 | 18 | 30700 | 19000 | 8700 | 10000 | 0,379 |
| 180208 | 6208 2RS | 40 | 80 | 18 | 30700 | 19000 | 5600 | – | 0,379 |
| 209 | 6209 | 45 | 85 | 19 | 33200 | 21600 | 7800 | 9200 | 0,43 |
| 80209 | 6209 ZZ | 45 | 85 | 19 | 33200 | 21600 | 7800 | 9200 | 0,43 |
| 180209 | 6209 2RS | 45 | 85 | 19 | 33200 | 21600 | 5000 | – | 0,43 |
| 210 | 6210 | 50 | 90 | 20 | 35100 | 23200 | 7100 | 8300 | 0,475 |
| 80210 | 6210 ZZ | 50 | 90 | 20 | 35100 | 23200 | 7100 | 8300 | 0,475 |
| 180210 | 6210 2RS | 50 | 90 | 20 | 35100 | 23200 | 4800 | – | 0,475 |
| 211 | 6211 | 55 | 100 | 21 | 43600 | 29000 | 6400 | 7600 | 0,625 |
| 80211 | 6211 ZZ | 55 | 100 | 21 | 43600 | 29000 | 6400 | 7600 | 0,625 |
| 180211 | 6211 2RS | 55 | 100 | 21 | 43600 | 29000 | 4300 | – | 0,625 |
| 212 | 6212 | 60 | 110 | 22 | 47500 | 32500 | 6000 | 7000 | 0,797 |
| 80212 | 6212 ZZ | 60 | 110 | 22 | 47500 | 32500 | 6000 | 7000 | 0,797 |
| 180212 | 6212 2RS | 60 | 110 | 22 | 47500 | 32500 | 3700 | – | 0,797 |
| 213 | 6213 | 65 | 120 | 23 | 55900 | 40500 | 5500 | 6500 | 1,017 |
| 80213 | 6213 ZZ | 65 | 120 | 23 | 55900 | 40500 | 5500 | 6500 | 1,017 |
| 180213 | 6213 2RS | 65 | 120 | 23 | 55900 | 40500 | 3500 | – | 1,017 |
| 214 | 6214 | 70 | 125 | 24 | 60500 | 45000 | 5100 | 6000 | 1,11 |
| 80214 | 6214 ZZ | 70 | 125 | 24 | 60500 | 45000 | 5100 | 6000 | 1,11 |
| 180214 | 6214 2RS | 70 | 125 | 24 | 60500 | 45000 | 3300 | – | 1,11 |
| 215 | 6215 | 75 | 130 | 25 | 66300 | 49000 | 4800 | 5600 | 1,21 |
| 80215 | 6215 ZZ | 75 | 130 | 25 | 66300 | 49000 | 4800 | 5600 | 1,21 |
| 180215 | 6215 2RS | 75 | 130 | 25 | 66300 | 49000 | 3100 | – | 1,21 |
| 216 | 6216 | 80 | 140 | 26 | 70200 | 55000 | 4500 | 5300 | 1,46 |
| 80216 | 6216 ZZ | 80 | 140 | 26 | 70200 | 55000 | 4500 | 5300 | 1,46 |
| 180216 | 6216 2RS | 80 | 140 | 26 | 70200 | 55000 | 2900 | – | 1,46 |
| 217 | 6217 | 85 | 150 | 28 | 83200 | 64000 | 4200 | 5000 | 1,847 |
| 80217 | 6217 ZZ | 85 | 150 | 28 | 83200 | 64000 | 4200 | 5000 | 1,847 |
| 180217 | 6217 2RS | 85 | 150 | 28 | 83200 | 64000 | 2700 | – | 1,847 |
| 218 | 6218 | 90 | 160 | 30 | 95600 | 73500 | 4000 | 4700 | 2,223 |
| 80218 | 6218 ZZ | 90 | 160 | 30 | 95600 | 73500 | 4000 | 4700 | 2,223 |
| 180218 | 6218 2RS | 90 | 160 | 30 | 95600 | 73500 | 2600 | – | 2,223 |
| 219 | 6219 | 95 | 170 | 32 | 108000 | 81500 | 3700 | 4400 | 2,713 |
| 80219 | 6219 ZZ | 95 | 170 | 32 | 108000 | 81500 | 3700 | 4400 | 2,713 |
| 180219 | 6219 2RS | 95 | 170 | 32 | 108000 | 81500 | 2400 | – | 2,713 |
| 220 | 6220 | 100 | 180 | 34 | 124000 | 93000 | 3500 | 4200 | 3,321 |
| 80220 | 6220 ZZ | 100 | 180 | 34 | 124000 | 93000 | 3500 | 4200 | 3,321 |
| 180220 | 6220 2RS | 100 | 180 | 34 | 124000 | 93000 | 2300 | – | 3,321 |
| 221 | 6221 | 105 | 190 | 36 | 133000 | 104000 | 3400 | 4000 | 3,717 |
| 80221 | 6221 ZZ | 105 | 190 | 36 | 133000 | 104000 | 3400 | 4000 | 3,717 |
| 180221 | 6221 2RS | 105 | 190 | 36 | 133000 | 105000 | 2200 | – | 3,717 |
| 222 | 6222 | 110 | 200 | 38 | 143000 | 118000 | 3200 | 3800 | 4,34 |
| 80222 | 6222 ZZ | 110 | 200 | 38 | 143000 | 118000 | 3200 | 3800 | 4,34 |
| 180222 | 6222 2RS | 110 | 200 | 38 | 143000 | 118000 | 2000 | – | 4,34 |
| 224 | 6224 | 120 | 215 | 40 | 148000 | 131000 | 2900 | 3400 | 5,1 |
| 80224 | 6224 ZZ | 120 | 215 | 40 | 148000 | 131000 | 2900 | 3400 | 5,1 |
| 180224 | 6224 2RS | 120 | 215 | 40 | 148000 | 131000 | 1900 | – | 5,1 |
| 226 | 6226 | 130 | 230 | 40 | 156000 | 146000 | 2700 | 3100 | 5,615 |
| 80226 | 6226 ZZ | 130 | 230 | 40 | 156000 | 146000 | 2700 | 3100 | 5,615 |
| 228 | 6228 | 140 | 250 | 42 | 165000 | 150000 | 2500 | 2900 | 7,485 |
| 80228 | 6228 ZZ | 140 | 250 | 42 | 165000 | 150000 | 2500 | 2900 | 7,485 |
| 230 | 6230 | 150 | 270 | 45 | 174000 | 166000 | 2300 | 2700 | 9,475 |
| 80230 | 6230 ZZ | 150 | 270 | 45 | 174000 | 166000 | 2300 | 2700 | 9,475 |
| 232 | 6232 | 160 | 290 | 48 | 186000 | 186000 | 2100 | 2500 | 14,59 |
| 80232 | 6232 ZZ | 160 | 290 | 48 | 186000 | 186000 | 2100 | 2500 | 14,59 |
| 234 | 6234 | 170 | 310 | 52 | 212000 | 224000 | 2000 | 2400 | 17,57 |
| 80234 | 6234 ZZ | 170 | 310 | 52 | 212000 | 224000 | 2000 | 2400 | 17,57 |
| 236 | 6236 | 180 | 320 | 52 | 229000 | 240000 | 1900 | 2200 | 18,6 |
| 80236 | 6236 ZZ | 180 | 320 | 52 | 229000 | 240000 | 1900 | 2200 | 18,6 |
| 238 | 6238 | 190 | 340 | 55 | 255000 | 280000 | 1800 | 2100 | 22,8 |
| 240 | 6240 | 200 | 360 | 58 | 270000 | 310000 | 1700 | 2000 | 28 |
| 244 | 6244 | 220 | 400 | 65 | 296000 | 365000 | 1500 | 1800 | 32,4 |
| 248 | 6248 | 240 | 440 | 72 | 340000 | 431000 | 1300 | 1600 | 51 |
| 252 | 6252 | 260 | 480 | 80 | 390000 | 530000 | 1100 | 1400 | 65,5 |
| 256 | 6256 | 280 | 500 | 80 | 423000 | 600000 | 1100 | 1400 | 71 |
| 260 | 6260 | 300 | 540 | 85 | 441000 | 663000 | 1000 | 1350 | 89,5 |
| 264 | 6264 | 320 | 580 | 92 | 489000 | 744000 | 950 | 1200 | 113 |
| 268 | 6268 | 340 | 620 | 92 | 511000 | 817000 | 900 | 1100 | 131 |
| 272 | 6272 | 360 | 650 | 95 | 557000 | 904000 | 850 | 1000 | 144 |
| 276 | 6276 | 380 | 680 | 95 | 584000 | 990000 | 800 | 900 | 162 |
| 280 | 6280 | 400 | 720 | 103 | 628000 | 1080000 | 700 | 800 | 197 |
| 300 | 6300 | 10 | 35 | 11 | 8060 | 3400 | 23000 | 27000 | 0,054 |
| 80300 | 6300 ZZ | 10 | 35 | 11 | 8060 | 3400 | 23000 | 27000 | 0,054 |
| 180300 | 6300 2RS | 10 | 35 | 11 | 8060 | 3400 | 15000 | – | 0,054 |
| 301 | 6301 | 12 | 37 | 12 | 9750 | 4150 | 20000 | 24000 | 0,063 |
| 80301 | 6301 ZZ | 12 | 37 | 12 | 9750 | 4150 | 20000 | 24000 | 0,063 |
| 180301 | 6301 2RS | 12 | 37 | 12 | 9750 | 4150 | 14000 | – | 0,063 |
| 302 | 6302 | 15 | 42 | 13 | 11400 | 5400 | 17000 | 21000 | 0,087 |
| 80302 | 6302 ZZ | 15 | 42 | 13 | 11400 | 5400 | 17000 | 21000 | 0,087 |
| 180302 | 6302 2RS | 15 | 42 | 13 | 11400 | 5400 | 12000 | – | 0,087 |
| 303 | 6303 | 17 | 47 | 14 | 13500 | 6550 | 16000 | 19000 | 0,117 |
| 80303 | 6303 ZZ | 17 | 47 | 14 | 13500 | 6550 | 16000 | 19000 | 0,117 |
| 180303 | 6303 2RS | 17 | 47 | 14 | 13500 | 6550 | 11000 | – | 0,117 |
| 304 | 6304 | 20 | 52 | 15 | 15900 | 7800 | 14000 | 17000 | 0,153 |
| 80304 | 6304 ZZ | 20 | 52 | 15 | 15900 | 7800 | 14000 | 17000 | 0,153 |
| 180304 | 6304 2RS | 20 | 52 | 15 | 15900 | 7800 | 9500 | – | 0,153 |
| 305 | 6305 | 25 | 62 | 17 | 22500 | 11600 | 12000 | 14000 | 0,238 |
| 80305 | 6305 ZZ | 25 | 62 | 17 | 22500 | 11600 | 12000 | 14000 | 0,238 |
| 180305 | 6305 2RS | 25 | 62 | 17 | 22500 | 11600 | 7500 | – | 0,238 |
| 306 | 6306 | 30 | 72 | 19 | 28100 | 16000 | 10000 | 12000 | 0,36 |
| 80306 | 6306 ZZ | 30 | 72 | 19 | 28100 | 16000 | 10000 | 12000 | 0,36 |
| 180306 | 6306 2RS | 30 | 72 | 19 | 28100 | 16000 | 6300 | – | 0,36 |
| 307 | 6307 | 35 | 80 | 21 | 33200 | 19000 | 8800 | 10000 | 0,467 |
| 80307 | 6307 ZZ | 35 | 80 | 21 | 33200 | 19000 | 8800 | 10000 | 0,467 |
| 180307 | 6307 2RS | 35 | 80 | 21 | 33200 | 19000 | 6000 | – | 0,467 |
| 308 | 6308 | 40 | 90 | 23 | 41000 | 24000 | 7800 | 9200 | 0,64 |
| 80308 | 6308 ZZ | 40 | 90 | 23 | 41000 | 24000 | 7800 | 9200 | 0,64 |
| 180308 | 6308 2RS | 40 | 90 | 23 | 41000 | 24000 | 5000 | – | 0,64 |
| 309 | 6309 | 45 | 100 | 25 | 52700 | 31500 | 7000 | 8200 | 0,843 |
| 80309 | 6309 ZZ | 45 | 100 | 25 | 52700 | 31500 | 7000 | 8200 | 0,843 |
| 180309 | 6309 2RS | 45 | 100 | 25 | 52700 | 31500 | 4500 | – | 0,843 |
| 310 | 6310 | 50 | 110 | 27 | 61800 | 38000 | 6400 | 7500 | 1,097 |
| 80310 | 6310 ZZ | 50 | 110 | 27 | 61800 | 38000 | 6400 | 7500 | 1,097 |
| 180310 | 6310 2RS | 50 | 110 | 27 | 61800 | 38000 | 4300 | – | 1,097 |
| 311 | 6311 | 55 | 120 | 29 | 71500 | 45000 | 5800 | 6800 | 1,377 |
| 80311 | 6311 ZZ | 55 | 120 | 29 | 71500 | 45000 | 5800 | 6800 | 1,377 |
| 180311 | 6311 2RS | 55 | 120 | 29 | 71500 | 45000 | 3800 | – | 1,377 |
| 312 | 6312 | 60 | 130 | 31 | 81900 | 52000 | 5400 | 6300 | 1,733 |
| 80312 | 6312 ZZ | 60 | 130 | 31 | 81900 | 52000 | 5400 | 6300 | 1,733 |
| 180312 | 6312 2RS | 60 | 130 | 31 | 81900 | 52000 | 3400 | – | 1,733 |
| 313 | 6313 | 65 | 140 | 33 | 92300 | 60000 | 4900 | 5800 | 2,153 |
| 80313 | 6313 ZZ | 65 | 140 | 33 | 92300 | 60000 | 4900 | 5800 | 2,153 |
| 180313 | 6313 2RS | 65 | 140 | 33 | 92300 | 60000 | 3200 | – | 2,153 |
| 314 | 6314 | 70 | 150 | 35 | 104000 | 68000 | 4600 | 5400 | 2,56 |
| 80314 | 6314 ZZ | 70 | 150 | 35 | 104000 | 68000 | 4600 | 5400 | 2,56 |
| 180314 | 6314 2RS | 70 | 150 | 35 | 104000 | 68000 | 3000 | – | 2,56 |
| 315 | 6315 | 75 | 160 | 37 | 111400 | 76500 | 4300 | 5000 | 3,12 |
| 80315 | 6315 ZZ | 75 | 160 | 37 | 111400 | 76500 | 4300 | 5000 | 3,12 |
| 180315 | 6315 2RS | 75 | 160 | 37 | 111400 | 76500 | 2800 | – | 3,12 |
| 316 | 6316 | 80 | 170 | 39 | 124000 | 86500 | 4000 | 4700 | 3,68 |
| 80316 | 6316 ZZ | 80 | 170 | 39 | 124000 | 86500 | 4000 | 4700 | 3,68 |
| 180316 | 6316 2RS | 80 | 170 | 39 | 124000 | 86500 | 2700 | – | 3,68 |
| 317 | 6317 | 85 | 180 | 41 | 133000 | 96500 | 3800 | 4500 | 4,303 |
| 80317 | 6317 ZZ | 85 | 180 | 41 | 133000 | 96500 | 3800 | 4500 | 4,303 |
| 180317 | 6317 2RS | 85 | 180 | 41 | 133000 | 96500 | 2500 | – | 4,303 |
| 318 | 6318 | 90 | 190 | 43 | 143000 | 108000 | 3600 | 4200 | 4,967 |
| 80318 | 6318 ZZ | 90 | 190 | 43 | 143000 | 108000 | 3600 | 4200 | 4,967 |
| 180318 | 6318 2RS | 90 | 190 | 43 | 143000 | 108000 | 2400 | – | 4,967 |
| 319 | 6319 | 95 | 200 | 45 | 153000 | 118000 | 3300 | 3900 | 5,71 |
| 80319 | 6319 ZZ | 95 | 200 | 45 | 153000 | 118000 | 3300 | 3900 | 5,71 |
| 180319 | 6319 2RS | 95 | 200 | 45 | 153000 | 118000 | 2200 | – | 5,71 |
| 320 | 6320 | 100 | 215 | 47 | 174000 | 140000 | 3200 | 3700 | 7,633 |
| 80320 | 6320 ZZ | 100 | 215 | 47 | 174000 | 140000 | 3200 | 3700 | 7,633 |
| 180320 | 6320 2RS | 100 | 215 | 47 | 174000 | 140000 | 2100 | – | 7,633 |
| 321 | 6321 | 105 | 225 | 49 | 182000 | 153000 | 3000 | 3600 | 8,677 |
| 80321 | 6321 ZZ | 105 | 225 | 49 | 182000 | 153000 | 3000 | 3600 | 8,677 |
| 180321 | 6321 2RS | 105 | 225 | 49 | 182000 | 153000 | 1900 | – | 8,677 |
| 322 | 6322 | 110 | 240 | 50 | 203000 | 180000 | 2900 | 3400 | 9,603 |
| 80322 | 6322 ZZ | 110 | 240 | 50 | 203000 | 180000 | 2900 | 3400 | 9,603 |
| 180322 | 6322 2RS | 110 | 240 | 50 | 203000 | 180000 | 1600 | – | 9,603 |
| 324 | 6324 | 120 | 260 | 55 | 208000 | 186000 | 2600 | 3100 | 12,75 |
| 80324 | 6324 ZZ | 120 | 260 | 55 | 208000 | 186000 | 2600 | 3100 | 12,75 |
| 326 | 6326 | 130 | 280 | 58 | 230000 | 216000 | 2400 | 2800 | 18,4 |
| 80326 | 6326 ZZ | 130 | 280 | 58 | 230000 | 216000 | 2400 | 2800 | 18,4 |
| 328 | 6328 | 140 | 300 | 62 | 251000 | 245000 | 2200 | 2600 | 22 |
| 80328 | 6328 ZZ | 140 | 300 | 62 | 251000 | 245000 | 2200 | 2600 | 22 |
| 330 | 6330 | 150 | 320 | 65 | 276000 | 285000 | 2000 | 2400 | 23 |
| 332 | 6332 | 160 | 340 | 68 | 285000 | 300000 | 1900 | 2300 | 29 |
| 334 | 6334 | 170 | 360 | 72 | 312000 | 340000 | 1800 | 2100 | 34,5 |
| 336 | 6336 | 180 | 380 | 75 | 351000 | 405000 | 1700 | 2000 | 42,5 |
| 338 | 6338 | 190 | 400 | 78 | 371000 | 430000 | 1600 | 1900 | 49 |
| 340 | 6340 | 200 | 420 | 80 | 377000 | 465000 | 1500 | 1800 | 55,5 |
| 6344 | 220 | 460 | 88 | 410000 | 520000 | 1400 | 1600 | 60,8 | |
| 348 | 6348 | 240 | 500 | 95 | 470000 | 624000 | 1300 | 1500 | 93,3 |
| 352 | 6352 | 260 | 540 | 102 | 531000 | 741000 | 1200 | 1400 | 116 |
| 356 | 6356 | 280 | 580 | 108 | 568000 | 845000 | 1100 | 1300 | 145 |
| 360 | 6360 | 300 | 620 | 109 | 593000 | 886000 | 1000 | 1150 | 169 |
| 364 | 6364 | 320 | 670 | 112 | 634000 | 1010000 | 900 | 1050 | 207 |
| 368 | 6368 | 340 | 710 | 118 | 704000 | 1160000 | 800 | 950 | 238 |
| 403 | 6403 | 17 | 62 | 17 | 22900 | 10800 | 13000 | 15000 | 0,27 |
| 80403 | 6403 ZZ | 17 | 62 | 17 | 22900 | 10800 | 13000 | 15000 | 0,27 |
| 180403 | 6403 2RS | 17 | 62 | 17 | 22900 | 10800 | 8000 | – | 0,27 |
| 404 | 6404 | 20 | 72 | 19 | 31000 | 15200 | 9500 | 12000 | 0,4 |
| 80404 | 6404 ZZ | 20 | 72 | 19 | 31000 | 15200 | 9500 | 12000 | 0,4 |
| 180404 | 6404 2RS | 20 | 72 | 19 | 31000 | 15200 | 6300 | – | 0,4 |
| 405 | 6405 | 25 | 80 | 21 | 35800 | 19300 | 8500 | 10000 | 0,53 |
| 80405 | 6405 ZZ | 25 | 80 | 21 | 35800 | 19300 | 8500 | 10000 | 0,53 |
| 180405 | 6405 2RS | 25 | 80 | 21 | 35800 | 19300 | 5600 | – | 0,53 |
| 406 | 6406 | 30 | 90 | 23 | 43600 | 23600 | 7500 | 9000 | 0,74 |
| 80406 | 6406 ZZ | 30 | 90 | 23 | 43600 | 23600 | 7500 | 9000 | 0,74 |
| 180406 | 6406 2RS | 30 | 90 | 23 | 43600 | 23600 | 5000 | – | 0,74 |
| 407 | 6407 | 35 | 100 | 25 | 55300 | 31000 | 6700 | 8000 | 0,95 |
| 80407 | 6407 ZZ | 35 | 100 | 25 | 55300 | 31000 | 6700 | 8000 | 0,95 |
| 180407 | 6407 2RS | 35 | 100 | 25 | 55300 | 31000 | 4500 | – | 0,95 |
| 408 | 6408 | 40 | 110 | 27 | 63700 | 36500 | 6000 | 7000 | 1,25 |
| 80408 | 6408 ZZ | 40 | 110 | 27 | 63700 | 36500 | 6000 | 7000 | 1,25 |
| 180408 | 6408 2RS | 40 | 110 | 27 | 63700 | 36500 | 4000 | – | 1,25 |
| 409 | 6409 | 45 | 120 | 29 | 76100 | 45000 | 5300 | 6300 | 1,55 |
| 80409 | 6409 ZZ | 45 | 120 | 29 | 76100 | 45000 | 5300 | 6300 | 1,55 |
| 180409 | 6409 2RS | 45 | 120 | 29 | 76100 | 45000 | 3600 | – | 1,55 |
| 410 | 6410 | 50 | 130 | 31 | 87100 | 52000 | 5000 | 6000 | 1,9 |
| 80410 | 6410 ZZ | 50 | 130 | 31 | 87100 | 52000 | 5000 | 6000 | 1,9 |
| 180410 | 6410 2RS | 50 | 130 | 31 | 87100 | 52000 | 3400 | – | 1,9 |
| 411 | 6411 | 55 | 140 | 33 | 99500 | 62000 | 4500 | 5300 | 2,3 |
| 80411 | 6411 ZZ | 55 | 140 | 33 | 99500 | 62000 | 4500 | 5300 | 2,3 |
| 180411 | 6411 2RS | 55 | 140 | 33 | 99500 | 62000 | 3000 | – | 2,3 |
| 412 | 6412 | 60 | 150 | 35 | 108000 | 69500 | 4300 | 5000 | 2,75 |
| 80412 | 6412 ZZ | 60 | 150 | 35 | 108000 | 69500 | 4300 | 5000 | 2,75 |
| 180412 | 6412 2RS | 60 | 150 | 35 | 108000 | 69500 | 2800 | – | 2,75 |
| 413 | 6413 | 65 | 160 | 37 | 119000 | 78000 | 4000 | 4800 | 3,3 |
| 80413 | 6413 ZZ | 65 | 160 | 37 | 119000 | 78000 | 4000 | 4800 | 3,3 |
| 180413 | 6413 2RS | 65 | 160 | 37 | 119000 | 78000 | 2600 | – | 3,3 |
| 414 | 6414 | 70 | 180 | 42 | 143000 | 10400 | 3800 | 4500 | 4,85 |
| 80414 | 6414 ZZ | 70 | 180 | 42 | 143000 | 10400 | 3800 | 4500 | 4,85 |
| 180414 | 6414 2RS | 70 | 180 | 42 | 143000 | 10400 | 2500 | – | 4,85 |
| 415 | 6415 | 75 | 190 | 45 | 153000 | 114000 | 3700 | 4400 | 6,8 |
| 80415 | 6415 ZZ | 75 | 190 | 45 | 153000 | 114000 | 3700 | 4400 | 6,8 |
| 180415 | 6415 2RS | 75 | 190 | 45 | 153000 | 114000 | 2300 | – | 6,8 |
| 416 | 6416 | 80 | 200 | 48 | 162000 | 125000 | 3600 | 4200 | 6,422 |
| 80416 | 6416 ZZ | 80 | 200 | 48 | 162000 | 125000 | 3600 | 4200 | 6,422 |
| 180416 | 6416 2RS | 80 | 200 | 48 | 162000 | 125000 | 2100 | – | 6,422 |
| 417 | 6417 | 85 | 210 | 52 | 174000 | 137000 | 3400 | 4000 | 9,5 |
| 80417 | 6417 ZZ | 85 | 210 | 52 | 174000 | 137000 | 3400 | 4000 | 9,5 |
| 180417 | 6417 2RS | 85 | 210 | 52 | 174000 | 137000 | 1800 | – | 9,5 |
| 418 | 6418 | 90 | 225 | 54 | 186000 | 150000 | 3200 | 3800 | 9,56 |
| 80418 | 6418 ZZ | 90 | 225 | 54 | 186000 | 150000 | 3200 | 3800 | 9,56 |
| 180418 | 6418 2RS | 90 | 225 | 54 | 186000 | 150000 | 1400 | – | 9,56 |
| 419 | 6419 | 95 | 240 | 55 | 188000 | 153000 | 3000 | 3500 | 11 |
| 80419 | 6419 ZZ | 95 | 240 | 55 | 188000 | 153000 | 3000 | 3500 | 11 |
| 180419 | 6419 2RS | 95 | 240 | 55 | 188000 | 153000 | 1100 | – | 11 |
| 420 | 6420 | 100 | 250 | 58 | 206000 | 175000 | 2900 | 3400 | 12,9 |
| 80420 | 6420 ZZ | 100 | 250 | 58 | 206000 | 175000 | 2900 | 3400 | 12,9 |
| 180420 | 6420 2RS | 100 | 250 | 58 | 206000 | 175000 | 900 | – | 12,9 |
| 421 | 6421 | 105 | 260 | 60 | 222000 | 179000 | 2700 | 3200 | 16,8 |
| 422 | 6422 | 110 | 280 | 65 | 247000 | 227000 | 2600 | 3000 | 21,3 |
| 424 | 6424 | 120 | 310 | 72 | 291000 | 287000 | 2300 | 2800 | 29 |
| 426 | 6426 | 130 | 340 | 78 | 300000 | 298000 | 2200 | 2500 | 38 |
| 180500 | 62200 2RS | 10 | 30 | 14 | 5100 | 2400 | 17000 | – | 0,045 |
| 180501 | 62201 2RS | 12 | 32 | 14 | 6900 | 3100 | 15000 | – | 0,048 |
| 180502 | 62202 2RS | 15 | 35 | 14 | 7800 | 3750 | 13000 | – | 0,054 |
| 180503 | 62203 2RS | 17 | 40 | 16 | 9500 | 4750 | 12000 | – | 0,083 |
| 180504 | 62204 2RS | 20 | 47 | 18 | 12700 | 6550 | 10000 | – | 0,13 |
| 180505 | 62205 2RS | 25 | 52 | 18 | 14000 | 7800 | 8500 | – | 0,15 |
| 180506 | 62206 2RS | 30 | 62 | 20 | 16500 | 11200 | 7500 | – | 0,243 |
| 180507 | 62207 2RS | 35 | 72 | 23 | 25500 | 15300 | 6300 | – | 0,388 |
| 180508 | 62208 2RS | 40 | 80 | 23 | 30700 | 19000 | 5600 | – | 0,471 |
| 180509 | 62209 2RS | 45 | 85 | 23 | 33200 | 21600 | 5000 | – | 0,523 |
| 180510 | 62210 2RS | 50 | 90 | 23 | 35100 | 23200 | 4800 | – | 0,55 |
| 180511 | 62211 2RS | 55 | 100 | 25 | 43600 | 29000 | 4300 | – | 0,7 |
| 180512 | 62212 2RS | 60 | 110 | 28 | 47500 | 32500 | 4000 | – | 0,97 |
| 180513 | 62213 2RS | 65 | 120 | 31 | 55900 | 40500 | 3600 | – | 1,25 |
| 180514 | 62214 2RS | 70 | 125 | 31 | 60500 | 45000 | 3400 | – | 1,3 |
| 180600 | 62300 2RS | 10 | 35 | 17 | 8000 | 3400 | 15000 | – | 0,06 |
| 180601 | 62301 2RS | 12 | 37 | 17 | 9750 | 4150 | 14000 | – | 0,07 |
| 180602 | 62302 2RS | 15 | 42 | 17 | 11400 | 5400 | 12000 | – | 0,11 |
| 180603 | 62303 2RS | 17 | 47 | 19 | 13500 | 6550 | 11000 | – | 0,15 |
| 180604 | 62304 2RS | 20 | 52 | 21 | 15900 | 7800 | 9500 | – | 0,207 |
| 180605 | 62305 2RS | 25 | 62 | 24 | 22500 | 11600 | 7500 | – | 0,326 |
| 180606 | 62306 2RS | 30 | 72 | 27 | 28100 | 16000 | 6300 | – | 0,493 |
| 180607 | 62307 2RS | 35 | 80 | 31 | 33200 | 19000 | 6000 | – | 0,68 |
| 180608 | 62308 2RS | 40 | 90 | 33 | 41000 | 24000 | 5000 | – | 0,89 |
| 180609 | 62309 2RS | 45 | 100 | 36 | 52700 | 31500 | 4500 | – | 1,19 |
| 180610 | 62310 2RS | 50 | 110 | 40 | 61800 | 38000 | 4300 | – | 1,5 |
| 180611 | 62311 2RS | 55 | 120 | 43 | 71500 | 45000 | 3800 | – | 1,95 |
| 180612 | 62312 2RS | 60 | 130 | 46 | 81900 | 52000 | 3400 | – | 2,5 |
| 180613 | 62313 2RS | 65 | 140 | 48 | 92300 | 60000 | 3200 | – | 3 |
| 180614 | 62314 2RS | 70 | 150 | 51 | 104000 | 68000 | 3000 | – | 3,55 |
| 7000101 | 16001 | 12 | 28 | 7 | 5100 | 2390 | 26000 | 30000 | 0,022 |
| 7000101 ZZ | 16001 ZZ | 12 | 28 | 7 | 5100 | 2390 | 26000 | 30000 | 0,022 |
| 7000101 2RS | 16001 2RS | 12 | 28 | 7 | 5100 | 2390 | 26000 | – | 0,022 |
| 7000102 | 16002 | 15 | 32 | 8 | 5590 | 2850 | 22000 | 26000 | 0,025 |
| 7000102 ZZ | 16002 ZZ | 15 | 32 | 8 | 5590 | 2850 | 22000 | 26000 | 0,025 |
| 7000102 2RS | 16002 2RS | 15 | 32 | 8 | 5590 | 2850 | 22000 | – | 0,025 |
| 7000103 | 16003 | 17 | 35 | 8 | 6050 | 3250 | 20000 | 24000 | 0,032 |
| 7000103 ZZ | 16003 ZZ | 17 | 35 | 8 | 6050 | 3250 | 20000 | 24000 | 0,032 |
| 7000103 2RS | 16003 2RS | 17 | 35 | 8 | 6050 | 3250 | 20000 | – | 0,032 |
| 7000104 | 16004 | 20 | 42 | 8 | 6890 | 4500 | 18000 | 21000 | 0,05 |
| 7000104 ZZ | 16004 ZZ | 20 | 42 | 8 | 6890 | 4500 | 18000 | 21000 | 0,05 |
| 7000104 2RS | 16004 2RS | 20 | 42 | 8 | 6890 | 4500 | 18000 | – | 0,05 |
| 7000105 | 16005 | 25 | 47 | 8 | 7610 | 4750 | 15000 | 18000 | 0,06 |
| 7000105 ZZ | 16005 ZZ | 25 | 47 | 8 | 7610 | 4750 | 15000 | 18000 | 0,06 |
| 7000105 2RS | 16005 2RS | 25 | 47 | 8 | 7610 | 4750 | 15000 | – | 0,06 |
| 7000106 | 16006 | 30 | 55 | 9 | 11200 | 350 | 13000 | 15000 | 0,08 |
| 7000106 ZZ | 16006 ZZ | 30 | 55 | 9 | 11200 | 7350 | 13000 | 15000 | 0,085 |
| 7000106 2RS | 16006 2RS | 30 | 55 | 9 | 11200 | 7350 | 13000 | – | 0,085 |
| 7000107 | 16007 | 35 | 62 | 9 | 12400 | 8150 | 12000 | 14000 | 0,11 |
| 7000107 ZZ | 16007ZZ | 35 | 62 | 9 | 12400 | 8150 | 12000 | 14000 | 0,11 |
| 7000107 2RS | 16007 2RS | 35 | 62 | 9 | 12400 | 8150 | 12000 | – | 0,11 |
| 7000108 | 16008 | 40 | 68 | 9 | 13300 | 9150 | 10000 | 12000 | 0,13 |
| 7000108 ZZ | 16008 ZZ | 40 | 68 | 9 | 13300 | 9150 | 10000 | 12000 | 0,13 |
| 7000108 2RS | 160082RS | 40 | 68 | 9 | 13300 | 9150 | 10000 | – | 0,13 |
| 7000109 | 16009 | 45 | 75 | 10 | 15600 | 10800 | 9200 | 11000 | 0,17 |
| 7000109 ZZ | 16009 ZZ | 45 | 75 | 10 | 15600 | 10800 | 9200 | 11000 | 0,17 |
| 7000109 2RS | 16009 2RS | 45 | 75 | 10 | 15600 | 10800 | 9200 | – | 0,17 |
| 7000110 | 16010 | 50 | 80 | 10 | 16300 | 11400 | 8400 | 9800 | 0,18 |
| 7000110 ZZ | 16010 ZZ | 50 | 80 | 10 | 16300 | 11400 | 8400 | 9800 | 0,18 |
| 7000110 2RS | 16010 2RS | 50 | 80 | 10 | 16300 | 11400 | 8400 | – | 0,18 |
| 7000111 | 16011 | 55 | 90 | 11 | 19500 | 14000 | 7700 | 9000 | 0,26 |
| 7000111 ZZ | 16011 ZZ | 55 | 90 | 11 | 19500 | 14000 | 7700 | 9000 | 0,26 |
| 7000111 2RS | 16011 2RS | 55 | 90 | 11 | 19500 | 14000 | 7700 | – | 0,26 |
| 7000112 | 16012 | 60 | 95 | 11 | 19900 | 15000 | 7000 | 8300 | 0,28 |
| 7000112 ZZ | 16012 ZZ | 60 | 95 | 11 | 19900 | 15000 | 7000 | 8300 | 0,28 |
| 7000112 2RS | 16012 2RS | 60 | 95 | 11 | 19900 | 15000 | 7000 | – | 0,28 |
| 7000113 | 16013 | 65 | 100 | 11 | 21200 | 16600 | 6500 | 7700 | 0,3 |
| 7000113 ZZ | 16013 ZZ | 65 | 100 | 11 | 21200 | 16600 | 6500 | 7700 | 0,3 |
| 7000113 2RS | 16013 2RS | 65 | 100 | 11 | 21200 | 16600 | 6500 | – | 0,3 |
| 7000114 | 16014 | 70 | 110 | 13 | 27800 | 25000 | 6000 | 7100 | 0,43 |
| 7000114 ZZ | 16014 ZZ | 70 | 110 | 13 | 27800 | 25000 | 6000 | 7100 | 0,43 |
| 7000114 2RS | 16014 2RS | 70 | 110 | 13 | 27800 | 25000 | 6000 | – | 0,43 |
| 7000115 | 16015 | 75 | 115 | 13 | 28600 | 27000 | 5600 | 6600 | 0,46 |
| 7000115 ZZ | 16015 ZZ | 75 | 115 | 13 | 28600 | 27000 | 5600 | 6600 | 0,46 |
| 7000115 2RS | 16015 2RS | 75 | 115 | 13 | 28600 | 27000 | 5600 | – | 0,46 |
| 7000116 | 16016 | 80 | 125 | 14 | 33200 | 31500 | 5300 | 6200 | 0,6 |
| 7000116 ZZ | 16016 ZZ | 80 | 125 | 14 | 33200 | 31500 | 5300 | 6200 | 0,6 |
| 7000116 2RS | 16016 2RS | 80 | 125 | 14 | 33200 | 31500 | 5300 | – | 0,6 |
| 7000117 | 16017 | 85 | 130 | 14 | 33800 | 33500 | 5000 | 5900 | 0,63 |
| 7000117 ZZ | 16017 ZZ | 85 | 130 | 14 | 33800 | 33500 | 5000 | 5900 | 0,63 |
| 7000117 2RS | 16017 2RS | 85 | 130 | 14 | 33800 | 33500 | 5000 | – | 0,63 |
| 7000118 | 16018 | 90 | 140 | 16 | 33500 | 33500 | 4700 | 5600 | 0,85 |
| 7000118 ZZ | 16018 ZZ | 90 | 140 | 16 | 33500 | 33500 | 4700 | 5600 | 0,85 |
| 7000118 2RS | 16018 2RS | 90 | 140 | 16 | 33500 | 33500 | 4700 | – | 0,85 |
| 7000119 | 16019 | 95 | 145 | 16 | 34500 | 35000 | 4500 | 5300 | 0,89 |
| 7000119 ZZ | 16019 ZZ | 95 | 145 | 16 | 34500 | 35000 | 4500 | 5300 | 0,89 |
| 7000119 2RS | 16019 2RS | 95 | 145 | 16 | 34500 | 33500 | 4500 | – | 0,89 |
| 7000120 | 16020 | 100 | 150 | 16 | 44200 | 44000 | 4200 | 5000 | 0,91 |
| 7000120 ZZ | 16020 ZZ | 100 | 150 | 16 | 35000 | 36500 | 4200 | 5000 | 0,91 |
| 7000120 2RS | 16020 2RS | 100 | 150 | 16 | 35000 | 36500 | 4200 | – | 0,91 |
| 7000121 | 16021 | 105 | 160 | 18 | 52000 | 51000 | 4000 | 4700 | 1,2 |
| 7000122 | 16022 | 110 | 170 | 19 | 57200 | 57000 | 3800 | 4500 | 1,45 |
| 7000124 | 16024 | 120 | 180 | 19 | 60500 | 64000 | 3500 | 4100 | 1,6 |
| 7000126 | 16026 | 130 | 200 | 22 | 79300 | 81500 | 3200 | 3800 | 2,35 |
| 7000128 | 16028 | 140 | 210 | 22 | 80600 | 86500 | 3000 | 3500 | 2,5 |
| 7000130 | 16030 | 150 | 225 | 24 | 92300 | 98000 | 2800 | 3200 | 3,15 |
| 7000132 | 16032 | 160 | 240 | 25 | 99500 | 108000 | 2600 | 3000 | 3,7 |
| 7000134 | 16034 | 170 | 260 | 28 | 119000 | 129000 | 2400 | 2800 | 5 |
| 7000136 | 16036 | 180 | 280 | 31 | 138000 | 146000 | 2300 | 2700 | 6,6 |
| 7000138 | 16038 | 190 | 290 | 31 | 148000 | 166000 | 2100 | 2500 | 7,9 |
| 7000140 | 16040 | 200 | 310 | 34 | 168000 | 190000 | 2000 | 2400 | 8,85 |
| 7000144 | 16044 | 220 | 340 | 37 | 174000 | 204000 | 1800 | 2200 | 11,5 |
| 7000148 | 16048 | 240 | 360 | 37 | 178000 | 217000 | 1700 | 2000 | 12,1 |
| 7000152 | 16052 | 260 | 400 | 44 | 227000 | 299000 | 1500 | 1800 | 18,5 |
| 7000156 | 16056 | 280 | 420 | 44 | 232000 | 315000 | 1400 | 1600 | 23 |
| 7000160 | 16060 | 300 | 460 | 50 | 292000 | 410000 | 1300 | 1500 | 32,5 |
| 7000164 | 16064 | 320 | 480 | 50 | 300000 | 440000 | 1200 | 1400 | 34,2 |
| 7000168 | 16068 | 340 | 520 | 57 | 340000 | 515000 | 1100 | 1300 | 47,1 |
| 7000172 | 16072 | 360 | 540 | 57 | 350000 | 550000 | 1100 | 1200 | 49,3 |
| 7000176 | 16076 | 380 | 560 | 57 | 377000 | 620000 | 950 | 1200 | 51 |
| 7000180 | 16080 | 400 | 600 | 63 | 358000 | 587000 | 890 | 1080 | 65 |
| 7000184 | 16084 | 420 | 620 | 63 | 367000 | 617000 | 810 | 1000 | 69,9 |
| 7000188 | 16088 | 440 | 650 | 67 | 407000 | 710000 | 730 | 920 | 81,7 |
| 7000192 | 16092 | 460 | 680 | 71 | 431000 | 767000 | 650 | 840 | 91,2 |
| 7000196 | 16096 | 480 | 700 | 71 | 444000 | 807000 | 570 | 760 | 98,5 |
| 1000800 | 61800 | 10 | 19 | 5 | 1380 | 585 | 32000 | 38000 | 6 |
| 1000800 ZZ | 61800 ZZ | 10 | 19 | 5 | 1380 | 585 | 32000 | 38000 | 6 |
| 1000801 | 61801 | 12 | 21 | 5 | 1430 | 670 | 29000 | 35000 | 6 |
| 1000801 ZZ | 61801 ZZ | 12 | 21 | 5 | 1430 | 670 | 29000 | 35000 | 6 |
| 1000801 2RS | 61801 2RS | 12 | 21 | 5 | 1430 | 670 | 19000 | – | 6 |
| 1000802 | 61802 | 15 | 24 | 5 | 1560 | 800 | 26000 | 31000 | 7 |
| 1000802 ZZ | 61802 ZZ | 15 | 24 | 5 | 1560 | 800 | 26000 | 31000 | 7 |
| 1000803 | 61803 | 17 | 26 | 5 | 1680 | 930 | 24000 | 28000 | 8 |
| 1000803 ZZ | 61803 ZZ | 17 | 26 | 5 | 1680 | 930 | 24000 | 28000 | 8 |
| 1000803 2RS | 61803 2RS | 17 | 26 | 5 | 1680 | 930 | 16000 | – | 8 |
| 1000804 | 61804 | 20 | 32 | 7 | 2700 | 1500 | 21000 | 25000 | 18 |
| 1000804 ZZ | 61804 ZZ | 20 | 32 | 7 | 2700 | 1500 | 21000 | 25000 | 18 |
| 1000804 2RS | 61804 2RS | 20 | 32 | 7 | 2700 | 1500 | 13000 | – | 18 |
| 1000805 | 61805 | 25 | 37 | 1 | 4360 | 2600 | 18000 | 21000 | 22 |
| 1000805 ZZ | 61805 ZZ | 25 | 37 | 1 | 4360 | 2600 | 18000 | 21000 | 22 |
| 1000806 | 61806 | 30 | 42 | 7 | 4490 | 2900 | 15000 | 18000 | 27 |
| 1000806 ZZ | 61806 ZZ | 30 | 42 | 7 | 4490 | 2900 | 15000 | 18000 | 27 |
| 1000807 | 61807 | 35 | 47 | 7 | 4750 | 3200 | 13000 | 16000 | 30 |
| 1000807 ZZ | 61807 ZZ | 35 | 47 | 7 | 4750 | 3200 | 13000 | 16000 | 30 |
| 1000807 2RS | 61807 2RS | 35 | 47 | 7 | 4750 | 3200 | 8000 | – | 30 |
| 1000808 | 61808 | 40 | 52 | 7 | 4940 | 3450 | 12000 | 14000 | 34 |
| 1000808 ZZ | 61808 ZZ | 40 | 52 | 7 | 4940 | 3450 | 12000 | 14000 | 34 |
| 1000809 | 61809 | 45 | 58 | 7 | 6050 | 4300 | 11000 | 12000 | 40 |
| 1000809 ZZ | 61809 ZZ | 45 | 58 | 7 | 6050 | 4300 | 11000 | 12000 | 40 |
| 1000810 | 61810 | 50 | 65 | 7 | 6240 | 4750 | 9600 | 11000 | 52 |
| 1000810 ZZ | 61810 ZZ | 50 | 65 | 7 | 6240 | 4750 | 9600 | 11000 | 52 |
| 1000810 2RS | 61810 2RS | 50 | 65 | 7 | 6240 | 4750 | 6000 | – | 52 |
| 1000811 | 61811 | 55 | 72 | 9 | 8320 | 6200 | 8700 | 10000 | 83 |
| 1000811 ZZ | 61811 ZZ | 55 | 72 | 9 | 8320 | 6200 | 8700 | 10000 | 83 |
| 1000811 2RS | 61811 2RS | 55 | 72 | 9 | 8320 | 6200 | 5300 | – | 83 |
| 1000812 | 61812 | 60 | 78 | 10 | 8710 | 6700 | 8000 | 9400 | 110 |
| 1000812 ZZ | 61812 ZZ | 60 | 78 | 10 | 8710 | 6700 | 8000 | 9400 | 110 |
| 1000812 2RS | 61812 2RS | 60 | 78 | 10 | 8710 | 6700 | 4800 | – | 110 |
| 1000813 | 61813 | 65 | 85 | 10 | 12000 | 11500 | 7400 | 8700 | 130 |
| 1000813 ZZ | 61813 ZZ | 65 | 85 | 10 | 12000 | 11500 | 7400 | 8700 | 130 |
| 1000813 2RS | 61813 2RS | 65 | 85 | 10 | 12000 | 11500 | 4500 | – | 130 |
| 1000814 | 61814 | 70 | 90 | 10 | 12100 | 11900 | 6900 | 8100 | 140 |
| 1000814 ZZ | 61814 ZZ | 70 | 90 | 10 | 12100 | 11900 | 6900 | 8100 | 140 |
| 1000814 2RS | 61814 2RS | 70 | 90 | 10 | 12100 | 11900 | 4300 | – | 140 |
ГОСТ подшипников.
Стандарты подшипников ГОСТПеречень стандартов ГОСТ относящихся к подшипникам.
ГОСТ 520-2002 Подшипники качения. Общие технические условия.
ГОСТ 520-2011 Подшипники качения. Общие технические условия.
ГОСТ 831-75 Подшипники шариковые радиально-упорные однорядные. Типы и основные размеры.
ГОСТ 832-78 Подшипники шариковые радиально-упорные сдвоенные. Типы и основные размеры.
ГОСТ 2893-82 Подшипники качения. Канавки под упорные пружинные кольца. Кольца упорные пружинные. Размеры.
ГОСТ 3189-89 Подшипники шариковые и роликовые. Система условных обозначений.
ГОСТ 3325-85 Подшипники качения. Поля допусков и технические требования к посадочным поверхностям валов и корпусов. Посадки.
ГОСТ 3395-89 Подшипники качения. Типы и конструктивные исполнения.
ГОСТ 3478-79 Подшипники качения. Основные размеры.
ГОСТ 3722-81 Подшипники качения. Шарики. Технические условия.
ГОСТ 4252-75 Подшипники шариковые радиально-упорные двухрядные.
Основные размеры.
ГОСТ 4657-82 Подшипники роликовые радиальные игольчатые однорядные. Основные размеры. Технические требования.
ГОСТ 5721-75 Подшипники роликовые радиальные сферические двухрядные. Типы и основные размеры.
ГОСТ 6364-78 Подшипники роликовые конические двухрядные. Основные размеры.
ГОСТ 6870-81 Подшипники качения. Ролики игольчатые. Технические условия.
ГОСТ 7242-81 Подшипники шариковые радиальные однорядные с защитными шайбами. Технические условия.
ГОСТ 7634-75 Подшипники радиальные роликовые многорядные с короткими цилиндрическими роликами. Типы и основные размеры.
ГОСТ 7872-89 Подшипники упорные шариковые одинарные и двойные. Технические условия.
ГОСТ 8328-75 Подшипники роликовые радиальные с короткими цилиндрическими роликами. Типы и основные размеры.
ГОСТ 8419-75 Подшипники роликовые конические четырехрядные. Основные размеры.
ГОСТ 8530-90 Подшипники качения. Гайки, шайбы и скобы для закрепительных втулок. Технические условия.
ГОСТ 8545-75 Подшипники шариковые и роликовые двухрядные с закрепительными втулками. Типы и основные размеры.
ГОСТ 8882-75 Подшипники шариковые радиальные однорядные с уплотнениями. Технические условия.
ГОСТ 8995-75 Подшипники шариковые радиально-упорные однорядные с одним разъемным кольцом. Типы и основные размеры.
ГОСТ 9592-75 Подшипники шариковые радиальные с выступающим внутренним кольцом. Технические условия.
ГОСТ 9942-90 Подшипники упорно-радиальные роликовые сферические одинарные. Технические условия.
ГОСТ 13014-80 Втулки стяжные подшипников качения. Основные размеры.
ГОСТ 18572-81 Подшипники роликовые с цилиндрическими роликами для букс железнодорожного подвижного состава. Основные размеры.
ГОСТ 18854-94 Подшипники качения. Статическая грузоподъемность.
ГОСТ 18855-94 Подшипники качения. Динамическая расчетная грузоподъемность и расчетный ресурс (долговечность).
ГОСТ 20531-75 Подшипники роликовые игольчатые радиально-упорные комбинированные.
Технические условия.
ГОСТ 22696-77 Подшипники качения. Ролики цилиндрические короткие. Технические условия.
ГОСТ 23179-78 Подшипники качения радиальные шариковые однорядные гибкие. Технические условия.
ГОСТ 23526-79 Подшипники роликовые упорные с цилиндрическими роликами одинарные. Типы и основные размеры.
ГОСТ 24208-80 Втулки закрепительные подшипников качения. Основные размеры.
ГОСТ 24297-87 Входной контроль продукции. Основные положения.
ГОСТ 24696-81 Подшипники роликовые радиальные сферические двухрядные с симметричными роликами. Основные размеры.
ГОСТ 24810-81 Подшипники качения. Зазоры.
ГОСТ 24850-81 Подшипники шариковые радиальные однорядные с двумя уплотнениями, с широким внутренним кольцом и сферической наружной поверхностью наружного кольца. Основные размеры.
ГОСТ 24955-81 Подшипники качения. Термины и определения.
ГОСТ 25255-82 Подшипники качения. Ролики цилиндрические длинные. Технические условия.
ГОСТ 25256-82 Подшипники качения.
Допуски. Термины и определения.
ГОСТ 25455-82 Подшипники качения. Втулки закрепительные и стяжные. Технические условия.
ГОСТ 27057-86 Подшипники упорные роликовые конические одинарные. Основные размеры.
ГОСТ 27365-87 Подшипники роликовые конические однорядные повышенной грузоподъемности. Основные размеры.
ГОСТ 28428-90 Подшипники радиальные шариковые сферические двухрядные. Технические условия.
ГОСТ 9013-59 Металлы. Методы измерения твердости по Роквеллу.
ГОСТ 3635-78 Подшипники шарнирные. Технические условия.
ГОСТ Р 52545.1-2006 (ИСО 15242-1:2004) Подшипники качения. Методы измерения вибрации. Основные положения.
Перечень стандартов ISO относящихся к подшипникам.
ISO 15241:2012 Подшипники качения ОБОЗНАЧЕНИЯ ФИЗИЧЕСКИХ ВЕЛИЧИН
ISO 15242-1:2015 Подшипники качения. Методы измерения вибрации. Часть 1. Основные положения
ISO 15242-2:2015 Подшипники качения. Методы измерения вибрации. Часть 2. Шариковые радиальные и радиально-упорные подшипники с цилиндрическим отверстием и цилиндрической наружной поверхностью
ISO 15242-3:2017 Подшипники качения.
Методы измерения вибрации. Часть 3. Радиальные сферические и роликовые конические подшипники с цилиндрическим отверстием и внешней поверхностью
ISO 15242-4:2017 Подшипники качения. Методы измерения вибрации. Часть 4. Радиальные роликовые цилиндрические подшипники с цилиндрическим отверстием и внешней поверхностью
ISO 15243:2017 Подшипники качения. Повреждения и отказы. Термины, характеристики и причины
ISO 3096:2018 Подшипники качения. Игольчатые ролики. Основные размеры, геометрические характеристики изделий и значения допусков
ISO 15:2017 Подшипники качения. Радиальные подшипники. Габаритные размеры. Общий вид
ISO 12129-2:2019 Подшипники скольжения. Допуски. Часть 2. Допуски на форму и положение, а также шероховатость поверхности валов и упорных заплечиков
ISO 281:2007 Подшипники качения. Динамическая грузоподъемность и номинальный ресурс
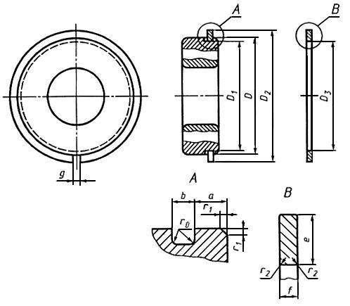
Размеры подшипников таблица аналогов взаимозаменяемости
Оглавление
- Таблица размеров шариковых радиальных подшипников
- Вал 1-5 мм
- Вал 6-10 мм
- Вал 12-20 мм
- Вал 25-50 мм
- Вал 55-70 мм
- Вал 75-100 мм
- Вал 105-140 ммм
- Вал 150-200 мм
- Вал 200-460 мм
Шариковые подшипники являются наиболее востребованными версиями подшипников качения.
Лидер продаж в данной группе, однорядные аксиальные шариковые подшипники. Данная продукция, благодаря минимальному моменту трения, обеспечивает максимальную частоту вращения валов.
При этом, для фиксации шариковых тел качения, используются сепараторы (полимерные, латунные, стальные). Более подробная информация о конкретных изделиях приведена в соответствующих каталогах производителей (внутренние и наружные диаметры, ширина, являющиеся основными (базовыми) типоразмерами для данной продукции, особенности конструктивного исполнения).
Элементы конструкции подобных подшипников (включая радиальные) изготавливаются из стали различных марок: нержавеющей, углеродистой, хромированной.
Есть версии с использованием керамики, пластиков. По любой из упомянутых характеристик заказчик может осуществить подбор изделия нужного типа (пример, закрытый, открытый) в нашем каталоге.
С учётом решаемых задач могут предлагаться пользователям в различных вариантах исполнения: энергоэффективные, обладающие повышенной грузоподъёмностью, иное.
При этом аналогичные изделия могут различаться номерами, присвоенными им производителями (условное обозначение продукции, альтернативное наименование, маркировка).
Шарикоподшипники являются опорой для вращающихся узлов и элементов конструкции, минимизируют трение, распределяют и передают нагрузку.
Данная продукция, весьма экономичная, относится к группе взаимозаменяемых деталей (подобрать аналоги изделиям, изготовленным по российским ГОСТ, среди выпущенных по международным стандартам, можно, воспользовавшись одной из таблиц, расположенных ниже. Российские и импортные изделия имеют единые размеры подшипников (метрические, дюймовые).
Используются практически во всех отраслях промышленности и жизнедеятельности человека.
Вал 1-5 мм
| Международное обозначение (ISO) | Аналог (ГОСТ) | Внутренний размер (мм) | Внешний размер (мм) | Ширина (мм) | Масса (кг) |
| 681 | 1000081 | 1 | 3 | 1 | 0,00006 |
| 691 | 1000091 | 1 | 4 | 1. 6 |
0,0001 |
| 601 | 11 | 1.5 | 6 | 2.5 | 0,0004 |
| 602 | 12 | 2 | 7 | 2.8 | 0,0006 |
| 682 | 1000082 | 2 | 5 | 1.5 | 0,00019 |
| 692 | 1000092 | 2 | 6 | 2.3 | 0,0004 |
| 603 | 13 | 3 | 9 | 3 | 0,001 |
| 623 | 23 | 3 | 10 | 4 | 0,001 |
| 633 | 33 | 3 | 13 | 5 | 0,003 |
| 683 | 1000083 | 3 | 7 | 2 | 0,0003 |
| 693 | 1000093 | 3 | 8 | 3 | 0,0007 |
| 604 | 14 | 4 | 12 | 4 | 0,002 |
| 624 | 24 | 4 | 13 | 5 | 0,003 |
| 634 | 34 | 4 | 16 | 5 | 0,005 |
| 684 | 1000084 | 4 | 9 | 2. 5 |
0,0007 |
| 694 | 1000094 | 4 | 11 | 4 | 0,002 |
| 605 | 15 | 5 | 14 | 5 | 0,003 |
| 625 | 25 | 5 | 16 | 5 | 0,004 |
| 635 | 35 | 5 | 19 | 6 | 0,009 |
| 685 | 1000085 | 5 | 11 | 3 | 0,0012 |
| 695 | 1000095 | 5 | 13 | 4 | 0,0025 |
Вал 6-10 мм
| Международное обозначение (ISO) | Аналог (ГОСТ) | Внутренний размер (мм) | Внешний размер (мм) | Ширина (мм) | Масса (кг) |
| 606 | 16 | 6 | 6 | 0,008 | |
| 626 | 26 | 6 | 19 | 6 | 0,008 |
| 636 | 36 | 6 | 22 | 7 | 0,01 |
| 686 | 1000086 | 6 | 13 | 3,5 | 0,002 |
| 696 | 1000096 | 6 | 15 | 5 | 0,004 |
| 607 | 17 | 7 | 19 | 6 | 0,009 |
| 627 | 27 | 7 | 22 | 7 | 0,012 |
| 637 | 37 | 7 | 26 | 9 | 0,02 |
| 687 | 1000087 | 7 | 14 | 3,5 | 0,0022 |
| 697 | 1000097 | 7 | 17 | 5 | 0,005 |
| 608 | 18 | 8 | 22 | 7 | 0,015 |
| 628 | 28 | 8 | 24 | 8 | 0,018 |
| 638 | 38 | 8 | 28 | 9 | 0,029 |
| 688 | 1000088 | 8 | 16 | 4 | 0,003 |
| 698 | 1000098 | 8 | 19 | 6 | 0,007 |
| 609 | 19 | 9 | 24 | 7 | 0,018 |
| 629 | 29 | 9 | 26 | 8 | 0,02 |
| 639 | 39 | 9 | 30 | 10 | 0,03 |
| 689 | 1000089 | 9 | 17 | 4 | 0,0034 |
| 699 | 1000099 | 9 | 20 | 6 | 0,008 |
| 6000 | 100 | 10 | 26 | 8 | 0,019 |
| 6200 | 200 | 10 | 30 | 9 | 0,03 |
| 6300 | 300 | 10 | 35 | 11 | 0,05 |
| 6800 | 1000800 | 10 | 19 | 5 | 0,0055 |
| 6900 | 1000900 | 10 | 22 | 6 | 0,009 |
Вал 12-20 мм
| Международное обозначение (ISO) | Внутренний размер (мм) | Внешний размер (мм) | Ширина (мм) | Масса (кг) | |
| 6001 | 101 | 12 | 28 | 8 | 0,02 |
| 6201 | 201 | 12 | 32 | 10 | 0,037 |
| 6301 | 301 | 12 | 37 | 12 | 0,06 |
| 6801 | 1000801 | 12 | 21 | 5 | 0,007 |
| 6901 | 1000901 | 12 | 24 | 6 | 0,01 |
| 6002 | 102 | 15 | 32 | 9 | 0,03 |
| 6202 | 202 | 15 | 35 | 11 | 0,04 |
| 6302 | 302 | 15 | 42 | 13 | 0,08 |
| 6802 | 1000802 | 15 | 24 | 5 | 0,008 |
| 6902 | 1000902 | 15 | 28 | 7 | 0,017 |
| 16002 | 7000102 | 15 | 32 | 8 | 0,027 |
| 6003 | 103 | 17 | 35 | 10 | 0,04 |
| 6203 | 203 | 17 | 40 | 12 | 0,07 |
| 6303 | 303 | 17 | 47 | 14 | 0,1 |
| 6403 | 403 | 17 | 62 | 17 | 0,26 |
| 6803 | 1000803 | 17 | 26 | 5 | 0,009 |
| 6903 | 1000903 | 17 | 30 | 7 | 0,018 |
| 16003 | 7000103 | 17 | 35 | 8 | 0,032 |
| 6004 | 104 | 20 | 42 | 12 | 0,07 |
| 6204 | 204 | 20 | 47 | 14 | 0,1 |
| 6304 | 304 | 20 | 52 | 15 | 0,14 |
| 6404 | 404 | 20 | 72 | 19 | 0,39 |
| 6804 | 1000804 | 20 | 32 | 7 | 0,02 |
| 6904 | 1000904 | 20 | 37 | 9 | 0,035 |
| 16004 | 7000104 | 20 | 42 | 8 | 0,05 |
Вал 25-50 мм
| Международное обозначение (ISO) | Аналог (ГОСТ) | Внутренний размер (мм) | Внешний размер (мм) | Ширина (мм) | Масса (кг) |
| 6005 | 105 | 25 | 47 | 12 | 0,08 |
| 6205 | 205 | 25 | 52 | 15 | 0,12 |
| 6305 | 305 | 25 | 62 | 17 | 0,23 |
| 6405 | 405 | 25 | 80 | 21 | 0,53 |
| 6805 | 1000805 | 25 | 37 | 7 | 0,022 |
| 6905 | 1000905 | 25 | 42 | 9 | 0,042 |
| 16005 | 7000105 | 25 | 47 | 8 | 0,05 |
| 6006 | 106 | 30 | 55 | 13 | 0,11 |
| 6206 | 206 | 30 | 62 | 16 | 0,2 |
| 6306 | 306 | 30 | 72 | 19 | 0,33 |
| 6406 | 406 | 30 | 90 | 23 | 0,72 |
| 6806 | 1000806 | 30 | 42 | 7 | 0,027 |
| 6906 | 1000906 | 30 | 47 | 9 | 0,049 |
| 16006 | 7000106 | 30 | 55 | 9 | 0,08 |
| 6007 | 107 | 35 | 62 | 14 | 0,15 |
| 6207 | 207 | 35 | 72 | 17 | 0,28 |
| 6307 | 307 | 35 | 80 | 21 | 0,44 |
| 6407 | 407 | 35 | 100 | 25 | 0,95 |
| 6807 | 1000807 | 35 | 47 | 7 | 0,031 |
| 6907 | 1000907 | 35 | 55 | 10 | 0,086 |
| 16007 | 7000107 | 35 | 62 | 9 | 0,11 |
| 6208 | 208 | 40 | 80 | 18 | 0,3 |
| 6308 | 308 | 40 | 90 | 23 | 0,62 |
| 6408 | 408 | 40 | 110 | 27 | 1,22 |
| 6808 | 1000808 | 40 | 52 | 7 | 0,035 |
| 6908 | 1000908 | 40 | 62 | 12 | 0,11 |
| 16008 | 7000108 | 40 | 68 | 9 | 0,12 |
| 6009 | 109 | 45 | 75 | 16 | 0,24 |
| 6209 | 209 | 45 | 85 | 19 | 0,4 |
| 6309 | 309 | 45 | 100 | 25 | 0,82 |
| 6409 | 409 | 45 | 120 | 29 | 1,54 |
| 6809 | 1000809 | 45 | 58 | 7 | 0,043 |
| 6909 | 1000909 | 45 | 68 | 12 | 0,15 |
| 16009 | 7000109 | 45 | 75 | 10 | 0,17 |
| 6010 | 110 | 50 | 80 | 16 | 0,26 |
| 6210 | 210 | 50 | 90 | 20 | 0,4 |
| 6310 | 310 | 50 | 110 | 27 | 1 |
| 6410 | 410 | 50 | 130 | 31 | 1,89 |
| 6810 | 1000810 | 50 | 65 | 7 | 0,057 |
| 6910 | 1000910 | 50 | 72 | 12 | 0,18 |
| 16010 | 7000110 | 50 | 80 | 10 | 0,188 |
| 6008 | 108 | 40 | 68 | 15 | 0,19 |
Вал 55-70 мм
| Международное обозначение (ISO) | Аналог (ГОСТ) | Внутренний размер (мм) | Внешний размер (мм) | Ширина (мм) | Масса (кг) |
| 6011 | 111 | 55 | 90 | 18 | 0,38 |
| 6211 | 211 | 55 | 100 | 21 | 0,5 |
| 6311 | 311 | 55 | 120 | 29 | 1,3 |
| 6411 | 411 | 55 | 140 | 33 | 2,29 |
| 6811 | 1000811 | 55 | 72 | 9 | 0,091 |
| 6911 | 1000911 | 55 | 80 | 13 | 0,19 |
| 16011 | 7000111 | 55 | 90 | 11 | 0,26 |
| 6012 | 112 | 60 | 95 | 18 | 0,41 |
| 6212 | 212 | 60 | 110 | 22 | 0,7 |
| 6312 | 312 | 60 | 130 | 31 | 1,7 |
| 6412 | 412 | 60 | 150 | 35 | 2,76 |
| 6812 | 1000812 | 60 | 78 | 10 | 0,12 |
| 6912 | 1000912 | 60 | 85 | 13 | 0,26 |
| 16012 | 7000112 | 60 | 95 | 11 | 0,28 |
| 6013 | 113 | 65 | 100 | 18 | 0,43 |
| 6213 | 213 | 65 | 120 | 23 | 0,9 |
| 6313 | 313 | 65 | 140 | 33 | 2 |
| 6413 | 413 | 65 | 160 | 37 | 3,28 |
| 6813 | 1000813 | 65 | 85 | 10 | 0,13 |
| 6913 | 1000913 | 65 | 90 | 13 | 0,3 |
| 16013 | 7000113 | 65 | 100 | 11 | 0,3 |
| 6014 | 114 | 70 | 110 | 20 | 0,6 |
| 6214 | 214 | 70 | 125 | 24 | 1 |
| 6314 | 314 | 70 | 150 | 35 | 2,5 |
| 6414 | 414 | 70 | 180 | 42 | 4,85 |
| 6814 | 1000814 | 70 | 90 | 10 | 0,18 |
| 6914 | 1000914 | 70 | 100 | 16 | 0,32 |
| 16014 | 7000114 | 70 | 110 | 13 | 0,43 |
Вал 75-100 мм
| Международное обозначение (ISO) | Аналог (ГОСТ) | Внутренний размер (мм) | Внешний размер (мм) | Ширина (мм) | Масса (кг) |
| 6015 | 115 | 75 | 115 | 20 | 0,63 |
| 6215 | 215 | 75 | 130 | 25 | 1,1 |
| 6315 | 315 | 75 | 160 | 37 | 3 |
| 6415 | 415 | 75 | 190 | 45 | 5,74 |
| 6815 | 1000815 | 75 | 95 | 10 | 0,19 |
| 6915 | 1000915 | 75 | 105 | 16 | 0,38 |
| 16015 | 7000115 | 75 | 115 | 13 | 0,45 |
| 6016 | 116 | 80 | 125 | 22 | 0,84 |
| 6216 | 216 | 80 | 140 | 26 | 1,4 |
| 6316 | 316 | 80 | 170 | 39 | 3,6 |
| 6416 | 416 | 80 | 200 | 48 | 6,72 |
| 6816 | 1000816 | 80 | 100 | 10 | 0,22 |
| 6916 | 1000916 | 80 | 110 | 16 | 0,43 |
| 16016 | 7000116 | 80 | 125 | 14 | 0,59 |
| 6017 | 117 | 85 | 130 | 22 | 0,89 |
| 6217 | 217 | 85 | 150 | 28 | 1,7 |
| 6317 | 317 | 85 | 180 | 41 | 4,2 |
| 6417 | 417 | 85 | 210 | 52 | 7,88 |
| 6817 | 1000817 | 85 | 110 | 13 | 0,29 |
| 6917 | 1000917 | 85 | 120 | 18 | 0,7 |
| 16017 | 7000117 | 85 | 130 | 14 | 0,62 |
| 6018 | 118 | 90 | 140 | 24 | 1,1 |
| 6218 | 218 | 90 | 160 | 30 | 2,1 |
| 6318 | 318 | 90 | 190 | 43 | 4,9 |
| 6418 | 418 | 90 | 225 | 54 | 11,4 |
| 6818 | 1000818 | 90 | 115 | 13 | 0,3 |
| 6918 | 1000918 | 90 | 125 | 18 | 0,73 |
| 16018 | 7000118 | 90 | 140 | 16 | 0,84 |
| 6019 | 119 | 95 | 145 | 24 | 1,2 |
| 6219 | 219 | 95 | 170 | 32 | 2,6 |
| 6319 | 319 | 95 | 200 | 45 | 5,7 |
| 6819 | 1000819 | 95 | 120 | 13 | 0,32 |
| 6919 | 1000919 | 95 | 130 | 18 | 0,76 |
| 16019 | 7000119 | 95 | 145 | 16 | 0,88 |
| 6020 | 120 | 100 | 150 | 24 | 1,2 |
| 6220 | 220 | 100 | 180 | 34 | 3,1 |
| 6320 | 320 | 100 | 215 | 47 | 7 |
| 6820 | 1000820 | 100 | 125 | 13 | 0,34 |
| 6920 | 1000920 | 100 | 140 | 20 | 1,02 |
| 16020 | 7000120 | 100 | 150 | 16 | 0,91 |
Вал 105-140 мм
| Международное обозначение (ISO) | Аналог (ГОСТ) | Внутренний размер (мм) | Внешний размер (мм) | Ширина (мм) | Масса (кг) |
| 6021 | 121 | 105 | 160 | 26 | 1,6 |
| 6221 | 221 | 105 | 190 | 36 | 3,7 |
| 6321 | 321 | 105 | 225 | 49 | 7,9 |
| 6821 | 1000821 | 105 | 130 | 13 | 0,45 |
| 6921 | 1000921 | 105 | 145 | 20 | 1,05 |
| 16021 | 7000121 | 105 | 160 | 18 | 1,2 |
| 6022 | 122 | 110 | 170 | 28 | 1,95 |
| 6222 | 222 | 110 | 200 | 38 | 4,3 |
| 6322 | 322 | 110 | 240 | 50 | 9,5 |
| 6822 | 1000822 | 110 | 140 | 16 | 0,6 |
| 6922 | 1000922 | 110 | 150 | 20 | 1,1 |
| 16022 | 7000122 | 110 | 170 | 19 | 1,46 |
| 6024 | 124 | 120 | 180 | 28 | 2 |
| 6224 | 224 | 120 | 215 | 40 | 5,1 |
| 6324 | 324 | 120 | 260 | 55 | 12,2 |
| 6824 | 1000824 | 120 | 150 | 16 | 0,65 |
| 6924 | 1000924 | 120 | 165 | 22 | 1,4 |
| 16024 | 7000124 | 120 | 180 | 19 | 1,8 |
| 6026 | 126 | 130 | 200 | 33 | 3,25 |
| 6226 | 226 | 130 | 230 | 40 | 6,2 |
| 6326 | 326 | 130 | 280 | 58 | 15 |
| 6826 | 1000826 | 130 | 165 | 18 | 0,93 |
| 6926 | 1000926 | 130 | 180 | 24 | 1,9 |
| 16026 | 7000126 | 130 | 200 | 22 | 2,69 |
| 6028 | 128 | 140 | 210 | 33 | 3,3 |
Вал 150-200 мм
| Международное обозначение | Аналог (ГОСТ) | Внутренний размер (мм) | Внешний размер (мм) | Ширина (мм) | Масса (кг) |
| 6030 | 130 | 150 | 225 | 35 | 4 |
| 6230 | 230 | 150 | 270 | 45 | 9,8 |
| 6330 | 330 | 150 | 320 | 65 | 21,7 |
| 6830 | 1000830 | 150 | 190 | 20 | 1,43 |
| 6930 | 1000930 | 150 | 210 | 28 | 3,5 |
| 16030 | 7000130 | 150 | 225 | 24 | 3,58 |
| 6032 | 132 | 160 | 240 | 38 | 5 |
| 6232 | 232 | 160 | 290 | 48 | 15 |
| 6832 | 1000832 | 160 | 200 | 20 | 1,49 |
| 6932 | 1000932 | 160 | 220 | 28 | 3,7 |
| 16032 | 7000132 | 160 | 240 | 25 | 3,6 |
| 6034 | 134 | 170 | 260 | 42 | 6,9 |
| 6234 | 234 | 170 | 310 | 52 | 16,5 |
| 6834 | 1000834 | 170 | 215 | 22 | 2 |
| 6934 | 1000934 | 170 | 230 | 28 | 4 |
| 16034 | 7000134 | 170 | 260 | 28 | 5,77 |
| 6036 | 136 | 180 | 280 | 46 | 8 |
| 6236 | 236 | 180 | 320 | 52 | 17,5 |
| 6836 | 1000836 | 180 | 225 | 22 | 2 |
| 6936 | 1000936 | 180 | 250 | 33 | 4,9 |
| 16036 | 7000136 | 180 | 280 | 31 | 7,6 |
| 6038 | 138 | 190 | 290 | 46 | 9 |
| 6238 | 238 | 190 | 340 | 55 | 23 |
| 6838 | 1000838 | 190 | 240 | 24 | 2,6 |
| 6938 | 1000938 | 190 | 260 | 33 | 5,2 |
| 16038 | 7000138 | 190 | 290 | 31 | 7,89 |
| 6040 | 140 | 200 | 310 | 51 | 11 |
| 6240 | 240 | 200 | 360 | 58 | 28 |
Вал 200-460 мм
| Международное обозначение | Аналог (ГОСТ) | Внутренний размер (мм) | Внешний размер (мм) | Ширина (мм) | Масса (кг) |
| 6044 | 144 | 220 | 340 | 56 | 18 |
| 6244 | 244 | 220 | 400 | 65 | 32 |
| 6844 | 1000844 | 220 | 270 | 24 | 3 |
| 6944 | 1000944 | 220 | 300 | 38 | 8,1 |
| 16044 | 7000144 | 220 | 340 | 37 | 13,5 |
| 6048 | 148 | 240 | 360 | 56 | 19 |
| 6248 | 248 | 240 | 440 | 72 | 51 |
| 6848 | 1000848 | 240 | 300 | 28 | 4,5 |
| 6948 | 1000948 | 240 | 320 | 38 | 9,6 |
| 16048 | 7000148 | 240 | 360 | 37 | 14,5 |
| 6052 | 152 | 260 | 400 | 65 | 29 |
| 6252 | 252 | 260 | 480 | 80 | 65 |
| 6852 | 1000852 | 260 | 320 | 28 | 4,8 |
| 6952 | 1000952 | 260 | 360 | 46 | 14,5 |
| 6056 | 156 | 280 | 420 | 65 | 31 |
| 6256 | 256 | 280 | 500 | 80 | 71 |
| 6856 | 1000856 | 280 | 350 | 33 | 7,4 |
| 6956 | 1000956 | 280 | 380 | 46 | 15 |
| 6060 | 160 | 300 | 460 | 74 | 43 |
| 6860 | 1000860 | 300 | 380 | 38 | 10,5 |
| 6960 | 1000960 | 300 | 420 | 56 | 24 |
| 6064 | 164 | 320 | 480 | 74 | 46 |
| 6864 | 1000864 | 320 | 400 | 38 | 11,8 |
| 6068 | 168 | 340 | 520 | 82 | 62 |
| 6868 | 1000868 | 340 | 420 | 38 | 12 |
| 6072 | 172 | 360 | 540 | 82 | 65 |
| 6876 | 1000876 | 380 | 480 | 46 | 20 |
| 6892 | 1000892 | 460 | 580 | 56 | 36,3 |
Подшипниковые ГОСТы
Перечень стандартов ГОСТ относящихся к подшипникам.![]() |
|
|---|---|
| ГОСТ 520—2002 Подшипники качения. Общие технические условия. | скачать |
| ГОСТ 520—2011 Подшипники качения. Общие технические условия. | скачать |
| ГОСТ 831-75 Подшипники шариковые радиально-упорные однорядные. Типы и основные размеры. | скачать |
| ГОСТ 832-78 Подшипники шариковые радиально-упорные сдвоенные. Типы и основные размеры. | скачать |
| ГОСТ 2893-82 Подшипники качения. Канавки под упорные пружинные кольца. Кольца упорные пружинные. Размеры. | скачать |
| ГОСТ 3189-89 Подшипники шариковые и роликовые. Система условных обозначений. | скачать |
ГОСТ 3325-85 Подшипники качения. Поля допусков и технические требования к посадочным поверхностям валов и корпусов. Посадки. |
скачать |
| ГОСТ 3395-89 Подшипники качения. Типы и конструктивные исполнения. | скачать |
| ГОСТ 3478-79 Подшипники качения. Основные размеры. | скачать |
| ГОСТ 3722-81 Подшипники качения. Шарики. Технические условия. | скачать |
| ГОСТ 4252-75 Подшипники шариковые радиально-упорные двухрядные. Основные размеры. | скачать |
| ГОСТ 4657-82 Подшипники роликовые радиальные игольчатые однорядные. Основные размеры. Технические требования. | скачать |
| ГОСТ 5377-79 Подшипники роликовые радиальные с короткими цилиндрическими роликами без внутреннего или наружного кольца. Типы и основные размеры. | скачать |
ГОСТ 5721-75 Подшипники роликовые радиальные сферические двухрядные. Типы и основные размеры. |
скачать |
| ГОСТ 6364-78 Подшипники роликовые конические двухрядные. Основные размеры. | скачать |
| ГОСТ 6870-81 Подшипники качения. Ролики игольчатые. Технические условия. | скачать |
| ГОСТ 7242-81 Подшипники шариковые радиальные однорядные с защитными шайбами. Технические условия. | скачать |
| ГОСТ 7634-75 Подшипники радиальные роликовые многорядные с короткими цилиндрическими роликами. Типы и основные размеры. | скачать |
| ГОСТ 7872-89 Подшипники упорные шариковые одинарные и двойные. Технические условия. | скачать |
| ГОСТ 8328-75 Подшипники роликовые радиальные с короткими цилиндрическими роликами. Типы и основные размеры. | скачать |
ГОСТ 8338-75 Подшипники шариковые радиальные однорядные. Основные размеры. |
скачать |
| ГОСТ 8419-75 Подшипники роликовые конические четырехрядные. Основные размеры. | скачать |
| ГОСТ 8530-90 Подшипники качения. Гайки, шайбы и скобы для закрепительных втулок. Технические условия. | скачать |
| ГОСТ 8545-75 Подшипники шариковые и роликовые двухрядные с закрепительными втулками. Типы и основные размеры. | скачать |
| ГОСТ 8882-75 Подшипники шариковые радиальные однорядные с уплотнениями. Технические условия. | скачать |
| ГОСТ 8995-75 Подшипники шариковые радиально-упорные однорядные с одним разъемным кольцом. Типы и основные размеры. | скачать |
ГОСТ 9592-75 Подшипники шариковые радиальные с выступающим внутренним кольцом. Технические условия.![]() |
скачать |
| ГОСТ 9942-90 Подшипники упорно-радиальные роликовые сферические одинарные. Технические условия. | скачать |
| ГОСТ 13014-80 Втулки стяжные подшипников качения. Основные размеры. | скачать |
| ГОСТ 18572-81 Подшипники роликовые с цилиндрическими роликами для букс железнодорожного подвижного состава. Основные размеры. | скачать |
| ГОСТ 18854-94 Подшипники качения. Статическая грузоподъемность. | скачать |
| ГОСТ 18855-94 Подшипники качения. Динамическая расчетная грузоподъемность и расчетный ресурс (долговечность). | скачать |
| ГОСТ 20531-75 Подшипники роликовые игольчатые радиально-упорные комбинированные. Технические условия. | скачать |
ГОСТ 22696-77 Подшипники качения. Ролики цилиндрические короткие. Технические условия. |
скачать |
| ГОСТ 23179-78 Подшипники качения радиальные шариковые однорядные гибкие. Технические условия. | скачать |
| ГОСТ 23526-79 Подшипники роликовые упорные с цилиндрическими роликами одинарные. Типы и основные размеры. | скачать |
| ГОСТ 24208-80 Втулки закрепительные подшипников качения. Основные размеры. | скачать |
| ГОСТ 24297-87 Входной контроль продукции. Основные положения. | скачать |
| ГОСТ 24696-81 Подшипники роликовые радиальные сферические двухрядные с симметричными роликами. Основные размеры. | скачать |
| ГОСТ 24810-81 Подшипники качения. Зазоры. | скачать |
ГОСТ 24850-81 Подшипники шариковые радиальные однорядные с двумя уплотнениями, с широким внутренним кольцом и сферической наружной поверхностью наружного кольца. Основные размеры. |
скачать |
| ГОСТ 24955-81 Подшипники качения. Термины и определения. | скачать |
| ГОСТ 25255-82 Подшипники качения. Ролики цилиндрические длинные. Технические условия. | скачать |
| ГОСТ 25256-82 Подшипники качения. Допуски. Термины и определения. | скачать |
| ГОСТ 25455-82 Подшипники качения. Втулки закрепительные и стяжные. Технические условия. | скачать |
| ГОСТ 27057-86 Подшипники упорные роликовые конические одинарные. Основные размеры. | скачать |
| ГОСТ 27365-87 Подшипники роликовые конические однорядные повышенной грузоподъемности. Основные размеры. | скачать |
ГОСТ 28428-90 Подшипники радиальные шариковые сферические двухрядные. Технические условия. |
скачать |
| ГОСТ 9013-59 Металлы. Методы измерения твердости по Роквеллу. | скачать |
| ГОСТ 3635-78 Подшипники шарнирные. Технические условия. | скачать |
| ГОСТ Р 52545.1-2006 (ИСО 15242-1:2004) Подшипники качения. Методы измерения вибрации. Основные положения. | скачать |
Размеры шариковых подшипников в таблице по диаметру
Многообразие видов и форм опорных узлов затрудняет выбор конкретного из них. Осуществить подбор подшипника по размерам из таблицы можно в режиме онлайн. На самом деле определиться не так сложно. Для это необходимо провести простую процедуру измерения уже имеющейся детали, которую требуется заменить или воспользоваться уже известными параметрами. Если соблюдать правила, подобрать конкретную модель и заказать ее покупку можно не выходя из дома.
Как это сделать, чтобы не ошибиться при приобретении новых запчастей, рассмотрим подробно.
Виды
Они классифицируются по типу передачи усилия, по конструкции опорных элементов (шарики, ролики, иголки и другие сложные геометрические формы). Все узлы, данного назначения, построены по принципу качения.
Шариковые делятся на:
- • радиальные;
- • самоцентрирующиеся;
- • опорные;
- • радиально-упорные.
Роликовые:
- • радиальные и упорные с цилиндрическими элементами качения;
- • с коническими вращающимися частями.
Расчет
Расчет подшипников качения на долговечность производится по методу усталостного выкрашивания и на предупреждение пластических деформаций.
Для постоянного режима эти конструктивные элементы рассчитываются по эквивалентной динамической нагрузке с учетом характера и направления сил, действующих на узел. Эквивалентная нагрузка принимается такой, которая обеспечивает тот же срок службы, что и в условиях реальных нагрузок.
Грузоподъемность подшипников характеризуют такие параметры, как базовая динамическая грузоподъемность С и базовая статическая грузоподъемность С0. Первая — радиальная или осевая нагрузка, выдерживаемая при сроке службы в 1 миллион оборотов. Базовая долговечность — долговечность в условиях надежности 90%.
Расчетную долговечность можно определить как число оборотов в миллионах или часы работы, если в результате на поверхностях 90% деталей партии нет свидетельств усталости металла в виде отслаивания или выкрашивания.
Реестр:
Разберем подробнее технические параметры.
Таблица посадочных размеров и серий шариковых радиальных однорядных подшипников
| Маркировка ISO | Аналог ГОСТ | Внутренний диаметр d мм | Наружный диаметр D мм | Ширина в мм | Вес в кг | Схема |
| 6003 | 103 | 17 | 35 | 10 | 0,04 | |
| 6004 | 104 | 20 | 42 | 12 | 0,07 | |
| 6005 | 105 | 25 | 47 | 12 | 0,08 | |
| 6006 | 106 | 30 | 55 | 13 | 0,12 | |
| 6007 | 107 | 35 | 62 | 14 | 0,15 | |
| 6008 | 108 | 40 | 68 | 15 | 0,19 | |
| 6009 | 109 | 45 | 75 | 16 | 0,24 | |
| 6010 | 110 | 50 | 80 | 16 | 0,26 | |
| 6011 | 111 | 55 | 90 | 18 | 0,38 | |
| 6012 | 112 | 60 | 95 | 18 | 0,41 | |
| 6013 | 113 | 65 | 100 | 18 | 0,44 | |
| 6014 | 114 | 70 | 110 | 20 | 0,6 | |
| 6015 | 115 | 75 | 115 | 20 | 0,64 | |
| 6016 | 116 | 80 | 125 | 22 | 0,85 | |
| 6017 | 117 | 85 | 130 | 22 | 0,89 | |
| 6018 | 118 | 90 | 140 | 24 | 1,17 | |
| 6019 | 119 | 95 | 145 | 24 | 1,22 | |
| 6020 | 120 | 100 | 150 | 24 | 1,27 | |
| 6021 | 121 | 105 | 160 | 26 | 1,59 | |
| 6022 | 122 | 110 | 170 | 26 | 1,95 |
Этот тип наиболее распространен и используется в механизмах, где имеются вращающиеся детали: в электродвигателях, в редукторах, в ременных и цепных передачах различных габаритов от наручных часов до силовых установок океанского лайнера.
Специфическая маркировка, таблица размеров и номеров подшипников по диаметру для всех видов совпадает. Отличаются по технологическим особенностям, уровню защиты и наличию монтажных пазов узла.
С одной защитной шайбой
| Маркировка ISO | Аналог ГОСТ | Внутренний диаметр d мм | Наружный диаметр D мм | Ширина в мм | Вес в кг | Схема |
| 6003 Z | 60103 | 17 | 35 | 10 | 0,04 | |
| 6004 Z | 60104 | 20 | 42 | 12 | 0,07 | |
| 6005 Z | 60105 | 25 | 47 | 12 | 0,08 | |
| 6006 Z | 60106 | 30 | 55 | 13 | 0,12 | |
| 6007 Z | 60107 | 35 | 62 | 14 | 0,16 | |
| 6008 Z | 60108 | 40 | 68 | 15 | 0,2 | |
| 6009 Z | 60109 | 45 | 75 | 16 | 0,25 | |
| 6010 Z | 60110 | 50 | 80 | 16 | 0,26 | |
| 6011 Z | 60111 | 55 | 90 | 18 | 0,39 | |
| 6012 Z | 60112 | 60 | 95 | 18 | 0,42 | |
| 6013 Z | 60113 | 65 | 100 | 18 | 0,44 | |
| 6014 Z | 60114 | 70 | 110 | 20 | 0,62 | |
| 6015 Z | 60115 | 75 | 115 | 20 | 0,64 |
Параметры и вес этих деталей совпадают с приведенными выше данными.
Единственное отличие для ISO является добавочная буква z. Например, 6321 Z. По ГОСТу перед номером ставится цифра 60.
С двумя защитными шайбами
| Маркировка ISO | Аналог ГОСТ | Внутренний диаметр d мм | Наружный диаметр D мм | Ширина в мм | Вес в кг | Схема |
| 6003 ZZ | 80103 | 17 | 35 | 10 | 0,04 | |
| 6004 ZZ | 80104 | 20 | 42 | 12 | 0,07 | |
| 6005 ZZ | 80105 | 25 | 47 | 12 | 0,08 | |
| 6006 ZZ | 80106 | 30 | 55 | 13 | 0,12 | |
| 6007 ZZ | 80107 | 35 | 62 | 14 | 0,16 | |
| 6008 ZZ | 80108 | 40 | 68 | 15 | 0,2 | |
| 6009 ZZ | 8109 | 45 | 75 | 16 | 0,25 | |
| 6010 ZZ | 80110 | 50 | 80 | 16 | 0,26 | |
| 6011 ZZ | 80111 | 55 | 90 | 18 | 0,39 | |
| 6012 ZZ | 80112 | 60 | 95 | 18 | 0,42 | |
| 6013 ZZ | 80113 | 65 | 100 | 18 | 0,44 | |
| 6014 ZZ | 80114 | 70 | 110 | 20 | 0,62 | |
| 6015 ZZ | 80115 | 75 | 115 | 20 | 0,64 | |
| 6016 ZZ | 80116 | 80 | 125 | 22 | 1,86 |
Данные для этого вида узлов такие же, как и в первой ведомости.
Только отличаются прибавлением символа ZZ для ISO и для ГОСТа – добавочная 80.
С односторонним уплотнителем
| Маркировка ISO | Аналог ГОСТ | Внутренний диаметр d мм | Наружный диаметр D мм | Ширина в мм | Вес в кг | Схема |
| 6003 RS | 160103 | 17 | 35 | 10 | 0,04 | |
| 6004 RS | 160104 | 20 | 42 | 12 | 0,07 | |
| 6005 RS | 160105 | 25 | 47 | 12 | 0,08 | |
| 6006 RS | 160106 | 30 | 55 | 13 | 0,12 | |
| 6007 RS | 160107 | 35 | 62 | 14 | 0,16 | |
| 6008 RS | 160108 | 40 | 68 | 15 | 0,2 | |
| 6009 RS | 160109 | 45 | 75 | 16 | 0,25 | |
| 6010 RS | 160110 | 50 | 80 | 16 | 0,26 | |
| 6011 RS | 160111 | 55 | 90 | 18 | 0,39 | |
| 6012 RS | 160112 | 60 | 95 | 18 | 0,42 | |
| 6013 RS | 160113 | 65 | 100 | 18 | 0,44 | |
| 6014 RS | 160114 | 70 | 110 | 20 | 0,62 | |
| 6015 RS | 160115 | 75 | 115 | 20 | 0,64 | |
| 6016 RS | 160116 | 80 | 125 | 22 | 1,86 | |
| 6017 RS | 160113 | 85 | 130 | 22 | 0,89 | |
| 6018 RS | 160113 | 90 | 140 | 24 | 1,16 |
Параметры этих узлов совпадают с приведенным выше реестром, за исключением букв в маркировке ISO и цифр в ГОСТе.
Вместо Z пишутся RS, а перед четырехзначным числом вставляется 10.
С двухсторонним
| Маркировка ISO | Аналог ГОСТ | Внутренний диаметр d мм | Наружный диаметр D мм | Ширина в мм | D1 мм | a мм | b мм | Вес кг | Схема |
| 6003 2RSТ | 750103 | 17 | 35 | 10 | 33,17 | 2,06 | 1,35 | 0,04 | |
| 6004 2RSТ | 750104 | 20 | 42 | 12 | 39,75 | 2,06 | 1,35 | 0,07 | |
| 6005 2RSТ | 750105 | 25 | 47 | 12 | 39,75 | 2,06 | 1,35 | 0,08 | |
| 6006 2RSТ | 750106 | 30 | 55 | 13 | 52,6 | 2,08 | 1,35 | 0,12 | |
| 6007 2RSТ | 750107 | 35 | 62 | 14 | 59,61 | 2,08 | 1,9 | 0,15 | |
| 6008 2RSТ | 750108 | 40 | 68 | 15 | 64,82 | 2,49 | 1,9 | 0,19 | |
| 6009 2RSТ | 750109 | 45 | 75 | 16 | 72,83 | 2,49 | 1,9 | 0,24 | |
| 6010 2RSТ | 750110 | 50 | 80 | 16 | 76,81 | 2,49 | 1,9 | 0,25 | |
| 6011 2RSТ | 750111 | 55 | 90 | 18 | 86,79 | 2,87 | 2,7 | 0,37 | |
| 6012 2RSТ | 750112 | 60 | 95 | 18 | 91,82 | 2,87 | 2,7 | 0,4 |
Данные для таких деталей являются аналогом приведенного материала в прошлом заголовке.
Только перед RS вставляют цифру 2, а перед номером пишется 180.
С канавкой на наружном кольце
| Маркировка ISO | Аналог ГОСТ | Внутренний диаметр d мм | Наружный диаметр D мм | Ширина в мм | D1 мм | a мм | b мм | Вес кг | Схема |
| 6003 N | 50103 | 17 | 35 | 10 | 33,17 | 2,06 | 1,35 | 0,04 | |
| 6004 N | 50104 | 20 | 42 | 12 | 39,75 | 2,06 | 1,35 | 0,07 | |
| 6005 N | 50105 | 25 | 47 | 12 | 39,75 | 2,06 | 1,35 | 0,08 | |
| 6006 N | 50106 | 30 | 55 | 13 | 52,6 | 2,08 | 1,35 | 0,12 | |
| 6007 N | 50107 | 35 | 62 | 14 | 59,61 | 2,08 | 1,9 | 0,15 | |
| 6008 N | 50108 | 40 | 68 | 15 | 64,82 | 2,49 | 1,9 | 0,19 | |
| 6009 N | 50109 | 45 | 75 | 16 | 72,83 | 2,49 | 1,9 | 0,24 | |
| 6010 N | 50110 | 50 | 80 | 16 | 76,81 | 2,49 | 1,9 | 0,25 | |
| 6011 N | 50111 | 55 | 90 | 18 | 86,79 | 2,87 | 2,7 | 0,37 | |
| 6012 N | 50112 | 60 | 95 | 18 | 91,82 | 2,87 | 2,7 | 0,4 |
В маркировке ISO пишется 6003 N, по ГОСТУ 50103.
С канавкой и одной защитной шайбой
| Маркировка ISO | Аналог ГОСТ | Внутренний диаметр d мм | Наружный диаметр D мм | Ширина в мм | D1 мм | a мм | b мм | Вес кг | Схема |
| 6003 ZN | 150103 | 17 | 35 | 10 | 33,17 | 2,06 | 1,35 | 0,04 | |
| 6004 ZN | 150104 | 20 | 42 | 12 | 39,75 | 2,06 | 1,35 | 0,07 | |
| 6005 ZN | 150105 | 25 | 47 | 12 | 39,75 | 2,06 | 1,35 | 0,08 | |
| 6006 ZN | 150106 | 30 | 55 | 13 | 52,6 | 2,08 | 1,35 | 0,12 | |
| 6007 ZN | 150107 | 35 | 62 | 14 | 59,61 | 2,08 | 1,9 | 0,15 | |
| 6008 ZN | 150108 | 40 | 68 | 15 | 64,82 | 2,49 | 1,9 | 0,19 | |
| 6009 ZN | 150109 | 45 | 75 | 16 | 72,83 | 2,49 | 1,9 | 0,24 | |
| 6010 ZN | 150110 | 50 | 80 | 16 | 76,81 | 2,49 | 1,9 | 0,25 | |
| 6011 ZN | 150111 | 55 | 90 | 18 | 86,79 | 2,87 | 2,7 | 0,37 | |
| 6012 ZN | 150112 | 60 | 95 | 18 | 91,82 | 2,87 | 2,7 | 0,4 | |
| 6013 ZN | 150113 | 65 | 100 | 18 | 96,8 | 2,87 | 2,7 | 0,42 |
Здесь обозначения такие: 6003 ZN или 150103.
С канавкой и двумя защитными шайбами
| Маркировка ISO | Аналог ГОСТ | Внутренний диаметр d мм | Наружный диаметр D мм | Ширина в мм | D1 мм | a мм | b мм | Вес кг | Схема |
| 6003 ZZN | 450103 | 17 | 35 | 10 | 33,17 | 2,06 | 1,35 | 0,04 | |
| 6004 ZZN | 450104 | 20 | 42 | 12 | 39,75 | 2,06 | 1,35 | 0,07 | |
| 6005 ZZN | 450105 | 25 | 47 | 12 | 39,75 | 2,06 | 1,35 | 0,08 | |
| 6006 ZZN | 450106 | 30 | 55 | 13 | 52,6 | 2,08 | 1,35 | 0,12 |
ISO – 6003 ZZN, ГОСТ – 450103.
С канавкой с двухсторонним уплотнением
| Маркировка ISO | Аналог ГОСТ | Внутренний диаметр d мм | Наружный диаметр D мм | Ширина в мм | Вес в кг | Схема |
| 6003 2RS | 180103 | 17 | 35 | 10 | 0,04 | |
| 6004 2RS | 180104 | 20 | 42 | 12 | 0,07 | |
| 6005 2RS | 180105 | 25 | 47 | 12 | 0,08 | |
| 6006 2RS | 180106 | 30 | 55 | 13 | 0,12 | |
| 6007 2RS | 180107 | 35 | 62 | 14 | 0,16 | |
| 6008 2RS | 180108 | 40 | 68 | 15 | 0,2 | |
| 6009 2RS | 18109 | 45 | 75 | 16 | 0,25 | |
| 6010 2RS | 180110 | 50 | 80 | 16 | 0,26 | |
| 6011 2RS | 180111 | 55 | 90 | 18 | 0,39 | |
| 6012 2RS | 180112 | 60 | 95 | 18 | 0,42 | |
| 6013 2RS | 180113 | 65 | 100 | 18 | 0,44 | |
| 6014 2RS | 180114 | 70 | 110 | 20 | 0,62 |
Канавка обозначается буквой N, а уплотнение – RS или 2RS.
Плюсы и минусы использования
Конструктивные особенности деталей напрямую влияют на их полезные свойства и недостатки. Рассмотрим их по отдельности.
Качения
Среди безусловных достоинств этого типа устройств можно выделить:
- • Низкую стоимость. Этот фактор особенно актуален, учитывая, что в некоторых сложных механизмах одновременно можно использовать до нескольких сотен опорных узлов.
- • Слабое трение не приводит к серьезным потерям и сильному нагреву. Да и в целом опоры одинаково хорошо ведут себя как в момент начала эксплуатации, так и в уже установившемся стабильном режиме работы.
- • Широкое разнообразие не исключает взаимозаменяемости деталей, а легкий монтаж позволяет сделать ремонт быстро и качественно.
- • Для нормального функционирования практически не нужны смазочные материалы.
- • В целом требуется гораздо меньше ухода и внимания к запчастям, в которых установлены эти изделия.
Что касается минусов, то устройства качения довольно восприимчивы к ударным и вибрационным нагрузкам из-за своей жесткой конструкции.
Это исключает их использование в некоторых машинах. По своим габаритам изделия, обеспечивающие покачивание, крупные, работа проходит в довольно большом шуме.
Скольжения
Среди преимуществ использования выделяют:
- • Небольшой размер.
- • Конструкция может быть как разъемной, так и сборной.
- • Показатели работы в высокоскоростных механизмах значительно лучше, чем у других устройств.
- • Спокойно относятся к ударной волне и вибрациям, что увеличивает возможности эксплуатации.
- • Работает в самых неблагоприятных окружающих условиях.
Среди минусов можно назвать:
- • Необходимость постоянного контроля за уровнем смазочного материала, поскольку без него технические характеристики значительно ухудшаются.
- • Во время пуска происходят большие потери.
- • КПД ниже, чем в опорах качения.
- • Для производства используется дорогостоящее сырье, из-за чего повышается общая цена.
- • Комплектующие вырабатываются неравномерно, что усложняет обслуживание всей машины в целом.

Поиск подшипника по размерам можно провести онлайн, но множество других ключевых параметров все равно придется определять дополнительно. При правильном выборе можно обеспечить стабильную работу машины, сократить необходимость обслуживания. Иногда лучше обратиться за помощью к профессионалам, которые ответят на интересующие вопросы и посоветуют на каком варианте следует остановиться.
Радиально-упорные шариковые подшипники
Этот вид обеспечивает реакцию в двух плоскостях вдоль оси и перпендикулярно ей. При использовании двухрядной модели происходит фиксация вала в пространстве.
Размеры в таблице радиально-упорных шарикоподшипников неразъемных однорядных
| Маркировка ISO | Аналог ГОСТ | Внутренний диаметр d мм | Наружный диаметр D мм | Ширина в мм | Вес в кг | Схема |
| 7203 B | 66203 | 17 | 40 | 12 | 0,07 | |
| 7204 B | 66204 | 20 | 47 | 14 | 0,11 | |
| 7205 B | 166205 | 25 | 52 | 15 | 0,14 | |
| 7206 B | 66206 | 30 | 62 | 16 | 0,2 | |
| 7207 B | 66207 | 35 | 62 | 17 | 0,29 | |
| 7208 B | 66208 | 40 | 72 | 18 | 0,37 | |
| 7209 B | 66209 | 45 | 85 | 19 | 0,43 | |
| 7210 B | 66210 | 50 | 90 | 20 | 0,48 | |
| 7211 B | 66211 | 55 | 100 | 21 | 0,63 | |
| 7212 B | 66212 | 60 | 110 | 22 | 0,81 | |
| 7213 B | 66213 | 65 | 120 | 23 | 1 | |
| 7214 B | 66214 | 70 | 125 | 24 | 1,1 |
Типоразмеры и вес подшипников шариковых радиально-упорных двухрядных в таблице
| Маркировка ISO | Аналог ГОСТ | Внутренний диаметр d мм | Наружный диаметр D мм | Ширина в мм | Вес в кг | Схема |
| 3203 B | 3056203 | 17 | 40 | 17,5 | 0,1 | |
| 3204 B | 3056204 | 20 | 47 | 20,6 | 0,17 | |
| 3205 B | 3056205 | 25 | 52 | 20,6 | 0,19 | |
| 3206 B | 3056206 | 30 | 62 | 23,8 | 0,3 |
Упорные шариковые
Такая серия деталей обозначаются двумя видами.
Одинарные
| Маркировка ISO | Аналог ГОСТ | d мм | d1 мм | D мм | D1 мм | T мм | Вес кг | Схема |
| 51104 | 8104 | 20 | 35 | 35 | 20,2 | 10 | 0,04 | |
| 51105 | 8105 | 25 | 42 | 42 | 25,2 | 11 | 0,06 | |
| 51106 | 8106 | 30 | 47 | 47 | 30,2 | 11 | 0,07 | |
| 51107 | 8107 | 35 | 52 | 52 | 35,3 | 12 | 0,08 | |
| 51108 | 8108 | 40 | 60 | 60 | 40,2 | 13 | 0,12 | |
| 51109 | 8109 | 45 | 65 | 65 | 45,2 | 14 | 0,15 | |
| 51110 | 8110 | 50 | 70 | 70 | 50,2 | 14 | 0,16 | |
| 51111 | 8111 | 55 | 78 | 78 | 55,2 | 16 | 0,24 | |
| 51112 | 8112 | 60 | 85 | 85 | 60,2 | 17 | 0,29 | |
| 51113 | 8113 | 65 | 90 | 90 | 65,2 | 18 | 0,34 | |
| 51114 | 8114 | 70 | 95 | 95 | 70,2 | 18 | 0,36 | |
| 51115 | 8115 | 75 | 100 | 100 | 75,2 | 19 | 0,42 |
В маркировке ISO нет английских букв, а цифры начинаются с 511.
По государственному стандарту – четырехзначные цифры с приставкой из 81.
С подкладным кольцом
| Маркировка ISO | Аналог ГОСТ | d мм | D мм | d1 мм | D2 мм | D3 мм | C1 мм | R мм | S мм | T мм | Вес кг | Схема |
| 53203+U203 | 18203 | 17 | 35 | 35 | 38 | 26 | 4,00 | 32 | 16 | 15 | 0,071 | |
| 53204+U204 | 18204 | 20 | 40 | 40 | 42 | 30 | 5,00 | 36 | 18 | 17 | 0,102 | |
| 53205+U205 | 18205 | 25 | 47 | 47 | 50 | 36 | 5,50 | 40 | 19 | 19 | 0,155 | |
| 53206+U206 | 18206 | 30 | 52 | 52 | 55 | 42 | 5,50 | 45 | 22 | 20 | 0,182 | |
| 53207+U207 | 18207 | 35 | 62 | 62 | 65 | 48 | 7,00 | 50 | 24 | 22 | 0,279 | |
| 53208+U208 | 18208 | 40 | 68 | 68 | 72 | 55 | 7,00 | 56 | 28,5 | 23 | 0,35 | |
| 53209+U209 | 18209 | 45 | 73 | 73 | 78 | 60 | 7,50 | 56 | 26 | 24 | 0,388 | |
| 53210+U210 | 18210 | 50 | 78 | 78 | 82 | 62 | 7,50 | 64 | 32,5 | 26 | 0,464 | |
| 53211+U211 | 18211 | 55 | 90 | 90 | 95 | 72 | 9,00 | 72 | 35 | 30 | 0,752 | |
| 53212+U212 | 18212 | 60 | 95 | 95 | 100 | 78 | 9,00 | 72 | 32,5 | 31 | 0,817 | |
| 53213+U213 | 18213 | 65 | 100 | 100 | 105 | 82 | 9,00 | 80 | 40 | 32 | 0,912 | |
| 53214+U214 | 18214 | 70 | 105 | 105 | 110 | 88 | 9,00 | 80 | 38 | 32 | 0,967 | |
| 53215+U215 | 18215 | 75 | 110 | 110 | 115 | 92 | 9,50 | 90 | 49 | 32 | 1,018 |
Упорные шариковые подшипники двухрядные
| Маркировка ISO | Аналог ГОСТ | d мм | d1 мм | D мм | D1 мм | T мм | S мм | Вес кг | Схема |
| 29428 | 9039428 | 140 | 257 | 280 | 198 | 85 | 86 | 24,1 | |
| 29436 | 9039436 | 180 | 342 | 360 | 250 | 109 | 110 | 52,6 | |
| 29452 | 9039452 | 260 | 460 | 480 | 346 | 132 | 154 | 107,8 | |
| 29488 | 9039488 | 440 | 745 | 780 | 576 | 206 | 260 | 413 |
Цилиндрические роликоподшипники
Эти детали выгодно отличаются от шариковых повышенной нагрузкой на ось.
Площадь соприкосновения ролика гораздо шире, чем у шаровидной опоры. Некоторые модификации позволяют продольное смещение вдоль оси.
Мы покажем таблицы, по которым можно определить размер по номеру подшипника:
Без бортов на наружном кольце
| Маркировка ISO | Аналог ГОСТ | Внутренний диаметр d мм | Наружный диаметр D мм | Ширина в мм | Вес в кг | Схема |
| N 1007 | 2107 | 35 | 62 | 14 | 0,18 | |
| N 1008 | 2108 | 40 | 68 | 15 | 0,22 | |
| N 1009 | 2109 | 45 | 75 | 16 | 0,29 | |
| N 1110 | 2110 | 50 | 80 | 16 | 0,31 |
С однобортным внутренним кольцом
| Маркировка ISO | Аналог ГОСТ | Внутренний диаметр d мм | Наружный диаметр D мм | Ширина в мм | Вес в кг | Схема |
| NJ 1034 | 42134 | 170 | 260 | 42 | 8,2 | |
| NJ 1036 | 42136 | 180 | 280 | 46 | 10,1 |
С одним встроенным и одним свободным бортом на внутреннем кольце
| Маркировка ISO | Аналог ГОСТ | Внутренний диаметр d мм | Наружный диаметр D мм | Ширина в мм | Вес в кг | Схема |
| NUP 305 | 92305 | 25 | 62 | 17 | 0,24 | |
| NUP 306 | 92306 | 30 | 72 | 19 | 0,36 | |
| NUP 307 | 92307 | 35 | 80 | 21 | 0,48 |
Порядок проведения измерений, проверка исправности
Перед работой проверяют техническое состояние штангенциркуля и при необходимости настраивают его.
Если прибор имеет перекошенные губки, пользоваться им нельзя. Не допускаются также забоины, коррозия и царапины на рабочих поверхностях. Необходимо, чтобы торцы штанги и линейки-глубиномера при совмещенных губках совпадали.
Шкала инструмента должна быть чистой, хорошо читаемой.
Измерение
- Губки штангенциркуля плотно с небольшим усилием, без зазоров и перекосов прижимают к детали.
- Определяя величину наружного диаметра цилиндра (вала, болта и т.
д.), следят за тем, чтобы плоскость рамки была перпендикулярна его оси. - При измерении цилиндрических отверстий губки штангенциркуля располагают в диаметрально противоположных точках, которые можно найти, ориентируясь по максимальным показаниям шкалы. При этом плоскость рамки должна проходить через ось отверстия, т.е.
не допускается измерение по хорде или под углом к оси. - Чтобы измерить глубину отверстия, штангу устанавливают у его края перпендикулярно поверхности детали. Линейку глубиномера выдвигают до упора в дно при помощи подвижной рамки.

- Полученный размер фиксируют стопорным винтом и определяют показания.
Работая со штангенциркулем, следят за плавностью хода рамки. Она должна плотно, без покачивания сидеть на штанге, при этом передвигаться без рывков умеренным усилием, которое регулируется стопорным винтом.
Необходимо, чтобы при совмещенных губках нулевой штрих нониуса совпадал с нулевым штрихом штанги. В противном случае требуется переустановка нониуса, для чего ослабляют его винты крепления к рамке, совмещают штрихи и вновь закрепляют винты.
Конические роликоподшипники
Имеют такие же преимущества, как и цилиндрические: высокую нагрузку, возможность разборки. Кроме этого, они позволяют регулировать зазор между поверхностями качения после выработки. К ним относятся следующие виды.
Однорядные
| Маркировка ISO | Аналог ГОСТ | Внутренний диаметр d мм | Наружный диаметр D мм | Ширина Т в мм | Вес в кг | Схема |
| 30204 | 7204 | 20 | 47 | 15,25 | 0,12 | |
| 30205 | 7205 | 25 | 52 | 16,25 | 0,15 | |
| 30206 | 7206 | 30 | 62 | 17,25 | 0,24 |
С большим углом конуса
| Маркировка ISO | Аналог ГОСТ | Внутренний диаметр d мм | Наружный диаметр D мм | Ширина Т в мм | Вес в кг | Схема |
| — | 27305 | 25 | 62 | 18,25 | 0,26 | |
| — | 27306 | 30 | 72 | 20,75 | 0,39 | |
| — | 27307 | 35 | 80 | 12,75 | 0,52 |
Двухрядные
| Маркировка ISO | Аналог ГОСТ | Внутренний диаметр мм | Наружный диаметр мм | Ширина Т в мм | Ширина B в мм | Вес в кг | Схема |
| — | 9716 | 340 | 520 | 180 | 135 | 118 | |
| — | 9717 | 360 | 540 | 185 | 140 | 132 | |
| — | 9718 | 380 | 560 | 189 | 141 | 169 |
Четырехрядные
| Маркировка ISO | Аналог ГОСТ | Внутренний диаметр d мм | Наружный диаметр D мм | Ширина Т в мм | Ширина B в мм | Вес в кг | Схема |
| — | 2077140 | 200 | 310 | 275 | 10 | 75,8 | |
| — | 2077144 | 220 | 340 | 305 | 10 | 10,4 | |
| — | 2077148 | 240 | 360 | 310 | 10 | 108,7 |
Что такое штангенциркуль?
Штангенциркуль (нем.
Stangenzirkel) — это универсальный измерительный инструмент, который предназначается для высокоточного измерения наружных и внутренних линейных размеров, а в некоторых случаях — глубин отверстий.
Штангенциркуль является самым распространенным инструментом измерения, поскольку удобен в обращении, имеет простую конструкцию, и способен проводить измерения с максимальной скоростью.
Название штангенциркуля, также, как и других штангенинструментов (штангенглубиномера, штангенрейсмаса), связано с конструктивными особенностями этого инструмента. Он имеет измерительную штангу с основной шкалой и нониус – вспомогательную шкалу, применяемую для отсчета долей делений.
Сферические роликоподшипники
Они совмещают в себе способность выдерживать высокие нагрузки и имеют отклонение в осях посадки и вращения. Их еще называют, как самоцентрирующиеся.
Двухрядные с бортами на внутреннем кольце
| Маркировка ISO | Аналог ГОСТ | Внутренний диаметр d мм | Наружный диаметр D мм | Ширина в мм | Вес в кг | Схема |
| 22208 | 3508 | 40 | 80 | 23 | 0,58 | |
| 22209 | 3509 | 45 | 85 | 23 | 0,6 | |
| 22210 | 3510 | 50 | 90 | 23 | 0,65 |
С безбортовым внутренним кольцом
| Маркировка ISO | Аналог ГОСТ | Внутренний диаметр d мм | Наружный диаметр D мм | Ширина в мм | Вес в кг | Схема |
| 22208 | 53508 | 40 | 80 | 23 | 0,58 | |
| 22209 | 53509 | 45 | 85 | 23 | 0,6 | |
| 22210 | 53510 | 50 | 90 | 23 | 0,65 |
Сферические двухрядные с бортами на внутреннем кольце с посадочным конусом 1:12
| Маркировка ISO | Аналог ГОСТ | Внутренний диаметр d мм | Наружный диаметр D мм | Ширина в мм | Вес в кг | Схема |
| 22208 CCK | 153508 | 40 | 80 | 23 | 0,58 | |
| 22209 CCK | 153509 | 45 | 85 | 23 | 0,6 | |
| 22210 CCK | 153510 | 50 | 90 | 23 | 0,65 | |
| 22211 CCK | 153511 | 55 | 100 | 25 | 0,88 | |
| 22212 CCK | 153512 | 60 | 110 | 28 | 1,2 |
Сферические двухрядные с бортиками на внутреннем кольце с конусом 1:30
| Маркировка ISO | Аналог ГОСТ | Внутренний диаметр d мм | Наружный диаметр D мм | Ширина в мм | Вес в кг | Схема |
| 24024 K30 | 4113124 | 120 | 180 | 60 | 5,4 | |
| 24026 K30 | 4113126 | 130 | 200 | 69 | 7,95 | |
| 24028 K30 | 4113128 | 140 | 210 | 69 | 8,45 | |
| 24030 K30 | 4113130 | 150 | 225 | 75 | 10,5 |
Сферические двухрядные с безбортовым кольцом с отверстием конусностью 1:30
| Маркировка ISO | Аналог ГОСТ | Внутренний диаметр d мм | Наружный диаметр D мм | Ширина в мм | Вес в кг | Схема |
| 24024 CCK30 | 4153124 | 120 | 180 | 60 | 5,4 | |
| 24026 CCK30 | 4153126 | 130 | 200 | 69 | 7,95 | |
| 24028 CCK30 | 4153128 | 140 | 210 | 69 | 8,45 | |
| 24030 CCK30 | 4153130 | 150 | 225 | 75 | 10,5 |
Безбортовые с внутренним кольцом с посадочным конусом 1:12
| Маркировка ISO | Аналог ГОСТ | Внутренний диаметр d мм | Наружный диаметр D мм | Ширина в мм | Вес в кг | Схема |
| 22208 CCK | 153508 | 40 | 80 | 23 | 0,58 | |
| 22209 CCK | 153509 | 45 | 85 | 23 | 0,6 | |
| 22210 CCK | 153510 | 50 | 90 | 23 | 0,65 | |
| 22211 CCK | 153511 | 55 | 100 | 25 | 0,88 |
Упорные сферические однорядные
| Маркировка ISO | Аналог ГОСТ | d мм | d 1 мм | D мм | D 1 мм | Т мм | S мм | Вес в кг | Схема |
| 29428 | 9039428 | 140 | 257 | 280 | 198 | 85 | 86 | 24,1 | |
| 29436 | 9039436 | 180 | 342 | 360 | 255 | 109 | 110 | 52,6 | |
| 29452 | 9039452 | 260 | 460 | 480 | 346 | 132 | 154 | 107,8 |
Дополнительные обозначения
Различают две категории:
- префикс;
- суффикс.

Начнем с приставки. Она находится перед цифровым кодом и составляется по правилам:
- запись начинается справа;
- отсутствующие позиции отбрасываются, а если совсем нечего писать в дополнении, то и тире, разделяющие части кодировки, не нужно.
Рассмотрим составляющие справа налево:
- Класс точности. К самым высоким относятся аббревиатуры «5», «4», «Т» и «2». Немного хуже – «0», «6», «6Х», остальные показывают, что показатель совсем плохой. Тогда можно признать изделие низкокачественным. Это происходит, когда соотношение всех элементов не точно выверено. Так как маркируются подшипники после их изготовления, то при найденной погрешности, указывается плохой префикс.
- Радиальный зазор. Классифицируется по шкале от 0 до 9, измеряется в десятых частях миллиметра и показывает расстояние между шариками, то есть между элементами качения. Оптимальными считаются срединные значения. Нормальный показатель может никак не отображаться в записи.
- Ряд момента трения.
В основную, часто используемую группу входят – 1, 4 и 7. Остальные нужно сверять по документу РД ВНИПП.021-01. - Категория А, В или С. Последняя – стандартная, она не имеет особенных требований, поэтому часто даже не указывается. А вот если вы имеете дело с А или В, то рядом будут проставлены цифровые значения, обозначающие класс.
Справа, в суффиксе, идет необязательная, но важная информация о дополнительных указаниях. Обычно она нужна тем, кто имеет дело с нестандартными моделями. Указывается кириллическими буквами. Запрос можно сделать в целой системе нормированных списков: ГОСТы 5721, 24696, 24850 и 7872.
Шарнирные подшипники
Этот узел не имеет элементов качения. Характеристики его такие: внутренняя и внешняя обоймы сделаны по одному радиусу. Поэтому ось, относительно оправки, имеет несколько степеней свободы. Чаще всего они применяются в шарнирных сочленениях.
Подшипники шарнирные с отверстием и канавками для смазки во внутреннем кольце с одноразломным кольцом
| Альтернативная маркировка ISO | Аналог ГОСТ | d мм | D мм | B мм | C мм | Угол поворота град | d1 мм | d2 мм | Вес в кг | Схема |
| GE 10 EC | ЕШСП 10 | 10 | 19 | 9 | 6 | 12 | 13 | 16 | 0,01 | |
| GE 12 EC | ЕШСП 12 | 12 | 22 | 10 | 7 | 10 | 18 | 10 | 0,02 | |
| GE 15 EC | ЕШСП 15 | 15 | 26 | 12 | 9 | 8 | 18 | 22 | 0,04 | |
| GE 17 EC | ЕШСП 17 | 17 | 30 | 14 | 10 | 10 | 20 | 25 | 0,05 |
С двухразломным наружным кольцом
| Альтернативная маркировка ISO | Аналог ГОСТ | d мм | D мм | B мм | C мм | Угол поворота град | d1 мм | d2 мм | Вес в кг | Схема |
| GE 20 EXC | ШСЛ 20 | 20 | 35 | 16 | 12 | 9 | 24 | 29 | 0,07 | |
| GEH 20 EXC | 2ШСЛ 20 | 20 | 47 | 26 | 15 | 22 | 23 | 35 | 0,19 | |
| GE 25 EXC | ШСЛ 25 | 25 | 42 | 20 | 16 | 7 | 29 | 35 | 0,12 | |
| GEH 25 EXC | 2ШСЛ 25 | 25 | 52 | 28 | 15 | 22 | 28 | 40 | 0,26 |
С отверстиями и канавками во внутреннем кольце
| Альтернативная маркировка ISO | Аналог ГОСТ | d мм | D мм | B мм | C мм | Угол поворота град | d1 мм | d2 мм | Вес в кг | Схема |
| GE 10 C | ЕШС 10 | 10 | 19 | 9 | 6 | 12 | 13 | 16 | 0,01 | |
| GE 12 C | ШС 12 | 12 | 22 | 10 | 7 | 10 | 18 | 10 | 0,02 | |
| GE 15 C | ЕШС 15 | 15 | 26 | 12 | 9 | 8 | 18 | 22 | 0,04 | |
| GE 17 C | ЕШС 17 | 17 | 30 | 14 | 10 | 10 | 20 | 25 | 0,05 |
С канавками на внутреннем и внешнем кольцах
| Альтернативная маркировка ISO | Аналог ГОСТ | d мм | D мм | B мм | C мм | Угол поворота град | d1 мм | d2 мм | Вес в кг | Схема |
| GE 10 S | ЕШС 10K | 10 | 19 | 9 | 6 | 12 | 13 | 16 | 0,01 | |
| GE 12 S | ШС 12K | 12 | 22 | 10 | 7 | 10 | 18 | 10 | 0,02 | |
| GE 15 S | ЕШС 15K | 15 | 26 | 12 | 9 | 8 | 18 | 22 | 0,04 | |
| GE 17 S | ЕШС 17K | 17 | 30 | 14 | 10 | 10 | 20 | 25 | 0,05 |
Без отверстий и канавок с одноразломным кольцом
| Альтернативная маркировка ISO | Аналог ГОСТ | d мм | D мм | B мм | C мм | Угол поворота град | d1 мм | d2 мм | Вес в кг | Схема |
| GE 10 E | ЕШП 10 | 10 | 19 | 9 | 6 | 12 | 13 | 16 | 0,01 | |
| GE 12 E | ШП 12 | 12 | 22 | 10 | 7 | 10 | 18 | 10 | 0,02 | |
| GE 15 E | ЕШП 15 | 15 | 26 | 12 | 9 | 8 | 18 | 22 | 0,04 | |
| GE 17 E | ЕШП 17 | 17 | 30 | 14 | 10 | 10 | 20 | 25 | 0,05 |
С отверстиями и канавками на внешних и внутренних кольцах с одноразломным кольцом
| Альтернативная маркировка ISO | Аналог ГОСТ | d мм | D мм | B мм | C мм | Угол поворота град | d1 мм | d2 мм | Вес в кг | Схема |
| GE 10 ES | ЕШCП 10 | 10 | 19 | 9 | 6 | 12 | 13 | 16 | 0,01 | |
| GE 12 ES | ШCП 12 | 12 | 22 | 10 | 7 | 10 | 18 | 10 | 0,02 | |
| GE 15 ES | ЕШCП 15 | 15 | 26 | 12 | 9 | 8 | 18 | 22 | 0,04 | |
| GE 17 ES | ЕШCП 17 | 17 | 30 | 14 | 10 | 10 | 20 | 25 | 0,05 |
С двухразломным наружным кольцом
| Альтернативная маркировка ISO | Аналог ГОСТ | d мм | D мм | B мм | C мм | Угол поворота град | d1 мм | d2 мм | Вес в кг | Схема |
| GE 10 EXS | ЕШCЛ 10 | 10 | 19 | 9 | 6 | 12 | 13 | 16 | 0,01 | |
| GE 12 EXS | ШCЛ 12 | 12 | 22 | 10 | 7 | 10 | 18 | 10 | 0,02 | |
| GE 15 EXS | ЕШCЛ 15 | 15 | 26 | 12 | 9 | 8 | 18 | 22 | 0,04 | |
| GE 17 EXS | ЕШCЛ 17 | 17 | 30 | 14 | 10 | 10 | 20 | 25 | 0,05 |
Далее мы приведем таблицы закрытых размеров шариковых подшипников качения и скольжения.
Шарикоподшипники с канавкой для ввода шариков без сепаратора
Их отличие от прочих подшип-ников классической конструкции в наличии профрезерованных канавок в бортах колец. Через эти канавки происходит вставка шариков. Поскольку шариков такой подшипник качения имеет больше, чем сепараторный, это дает выигрыш в грузоподъемности. Их назначение — работа на небольших скоростях вращения из-за чрезмерного трения соприкасающихся тел качения. Там, где имеются осе-вые нагрузки, лучше отказаться от их применения, поскольку под их действием шарики часто смещаются по отношению косям дорожек качения.
Как конструктивный вариант таких шарикоподшипников встречаются узлы, где есть и канавка для вставки шари-ков, и защитные шайбы.
Данные узлы используются без применения смазки в сушильных камерах и узлах, применяющих качательное движение.
Таблица размеров игольчатых подшипников
| Международное обозначение | Российское обозначением(ГОСТ) | Размеры (мм) | Грузоподъемность (кН) | Масса (кг) | ||||
| d | Fw | D | B | Динамич.![]() | Статич. | |||
| NK 32/20 | 524706 | 32 | 32 | 42 | 20 | 23,3 | 40,5 | 0,068 |
| RNA 49/28 | 42549/28 | 32 | 32 | 45 | 17 | 25,1 | 36,5 | 0,073 |
| RNA 69/28 | 62549/28 | 32 | 32 | 45 | 30 | 39,6 | 65,5 | 0,14 |
Подшипников скольжения
| Международное обозначение | Российское обозначением(ГОСТ) | Размеры (мм) | Грузоподъемность (кН) | Масса (кг) | ||||
| d | Fw | D | B | Динамич. | Статич. | |||
| RNA 4010V | 4024110 | 62 | 62 | 80 | 30 | 59,6 | 153 | 0,44 |
| RNA 4911 | 4254911 | 63 | 63 | 80 | 25 | 57,2 | 106 | 0,26 |
| RNA 6911 | 6254911 | 63 | 63 | 80 | 45 | 89,7 | 190 | 0,47 |
Упорно-радиальных роликовых
| Международное обозначение | ГОСТ | Размеры (мм) | Масса (гр) | ||||
| d | D | de | De | Bx | |||
| AXK 2035 | 999904 | 20 | 35 | 22 | 34 | 2 | 5 |
| AXK 2542 | 999905 | 25 | 42 | 29 | 41 | 2 | 7 |
| AXK 3047 | 219806 | 30 | 47 | 34 | 46 | 2 | 8 |
Поля таблиц
Они отображают названия главных параметров и их геометрические размеры.
Маркировка ISO
Является стандартной для большинства стран мира, которая указывает номер, особенности исполнения.
ГОСТ
Представляет собой российский аналог и выполняет такие же функции.
Внутренний диаметр узла
Измеряется в миллиметрах (мм) и обозначается английской буквой d.
Наружный диаметр
Обозначается, как D.
Ширина
Измеряется в мм и определяется большой буквой B.
Вес
Мера – в килограммах (кг).
Схема
Поясняет принципиальное устройство.
Шарикоподшипники с уплотнением
Широко используются подшипники, имеющие двустороннее уплот-нение. Оно представляет собой резиновую мембра-ну. Узлы, где применено это уплотнение, характеризуются неплохой герметичностью. Как следствие, заводская смазка не вытекает и исключается попадание в нее сторонних частиц. Сепараторы таких шарикоподшипников обычно точеные текстолитовые или бронзовые. Хотя уплотнение их и контактного типа, они имеют возможность работы на повышенных скоро-стях вращения.
Шарикоподшипники с уплотнением часто используются в опорах электродвигателей. В этих узлах щеточная пыль выделяется настолько интенсивно, что способна быстро приводить к поломке шарикоподшипников других типов.
Определение изделия по размеру
В быту или производстве эти параметры измеряются определенными инструментами: штангенциркулем, микрометром, нутромером.
Измерение внешнего диаметра
Параметры при изготовлении выдерживаются достаточно точно. Поэтому не стоит доверять показаниям штангенциркуля. Если он показывает нестандартную величину, то настоящими данными будут ближайшие показатели, указанные в реестре.
Как измерить внутренний диаметр изделия
В строительных магазинах продается специальный прибор нутромер. Но за истинное значение лучше принять ближайшую цифру из классического табеля.
Подшипник 6309 (309) размеры 45 100 25 шариковый радиальный
Чаще всего ищут 608 6000 / 100 6001 / 101 6002 / 102 6003 / 103 6004 / 104 6200 / 200 6201 / 201 6202 / 202
Примененные фильтры
Сбросить фильтры
Подшипник 6-309 А ГПЗ
Внутренний диаметр: d 45 мм
Наружный диаметр: D 100 мм
Ширина: В 25 мм
783р.
В КОРЗИНУБыстрый заказПодробнее
80309 Craft
Внутренний диаметр: d 45 мм
Наружный диаметр: D 100 мм
Ширина: В 25 мм
809р.
В КОРЗИНУБыстрый заказПодробнее
Подшипник 80309 Craft
Внутренний диаметр: d 45 мм
Наружный диаметр: D 100 мм
Ширина: В 25 мм
998р.
В КОРЗИНУБыстрый заказПодробнее
Подшипник 6-80309
Внутренний диаметр: d 45 мм
Наружный диаметр: D 100 мм
Ширина: В 25 мм
1 284р.
В КОРЗИНУБыстрый заказПодробнее
Подшипник 6-80309 С17 СПЗ-4
Внутренний диаметр: d 45 мм
Наружный диаметр: D 100 мм
Ширина: В 25 мм
1 284р.
В КОРЗИНУБыстрый заказПодробнее
Шарикоподшипник радиальный однорядный 6309 CM NSK
Внутренний диаметр: d 45 мм
Наружный диаметр: D 100 мм
Ширина: В 25 мм
1 686р.
В КОРЗИНУБыстрый заказПодробнее
Подшипник 6309
Внутренний диаметр: d 45 мм
Наружный диаметр: D 100 мм
Ширина: В 25 мм
1 759р.
В КОРЗИНУБыстрый заказПодробнее
Подшипник 6309 С3
Внутренний диаметр: d 45 мм
Наружный диаметр: D 100 мм
Ширина: В 25 мм
1 759р.
В КОРЗИНУБыстрый заказПодробнее
Подшипник 6309 ZZ NSK
Внутренний диаметр: d 45 мм
Наружный диаметр: D 100 мм
Ширина: В 25 мм
1 833р.
В КОРЗИНУБыстрый заказПодробнее
Подшипник 6309 2Z
Внутренний диаметр: d 45 мм
Наружный диаметр: D 100 мм
Ширина: В 25 мм
1 906р.
В КОРЗИНУБыстрый заказПодробнее
Подшипник 6309 2RSH
Внутренний диаметр: d 45 мм
Наружный диаметр: D 100 мм
Ширина: В 25 мм
1 906р.
В КОРЗИНУБыстрый заказПодробнее
Подшипник FAG 6309 2Z
Внутренний диаметр: d 45 мм
Наружный диаметр: D 100 мм
Ширина: В 25 мм
1 906р.
В КОРЗИНУБыстрый заказПодробнее
Подшипник 6309 2RSR FAG
Внутренний диаметр: d 45 мм
Наружный диаметр: D 100 мм
Ширина: В 25 мм
1 906р.
В КОРЗИНУБыстрый заказПодробнее
Подшипник шариковый однорядный 6309 DDUC3 NSK
Ширина: В 25 мм
Наружный диаметр: D 100 мм
Внутренний диаметр: d 45 мм
1 906р.
В КОРЗИНУБыстрый заказПодробнее
Подшипник 6309 ZZC3 NSK
Внутренний диаметр: d 45 мм
Наружный диаметр: D 100 мм
Ширина: В 25 мм
1 906р.
В КОРЗИНУБыстрый заказПодробнее
Подшипник 6309 2RSH/C3
Ширина: В 25 мм
Наружный диаметр: D 100 мм
Внутренний диаметр: d 45 мм
1 979р.
В КОРЗИНУБыстрый заказПодробнее
Подшипник 6309 2Z/C3
Внутренний диаметр: d 45 мм
Наружный диаметр: D 100 мм
Ширина: В 25 мм
1 979р.
В КОРЗИНУБыстрый заказПодробнее
Подшипник шариковый радиальный 6309 ZZR C3 FAG
Внутренний диаметр: d 45 мм
Наружный диаметр: D 100 мм
Ширина: В 25 мм
1 979р.
В КОРЗИНУБыстрый заказПодробнее
Подшипник 6309 2RSR/C3 FAG
Внутренний диаметр: d 45 мм
Наружный диаметр: D 100 мм
Ширина: В 25 мм
1 979р.
В КОРЗИНУБыстрый заказПодробнее
Подшипник шариковый однорядный FAG 6309 2Z//C3
Ширина: В 25 мм
Наружный диаметр: D 100 мм
Внутренний диаметр: d 45 мм
1 979р.
В КОРЗИНУБыстрый заказПодробнее
Однорядный радиальный подшипник 6309 DDU NSK
Ширина: В 25 мм
Наружный диаметр: D 100 мм
Внутренний диаметр: d 45 мм
2 291р.
В КОРЗИНУБыстрый заказПодробнее
- 1
- 2
Чтобы узнать подробности, свяжитесь с нашими специалистами
Пасько Дмитрий
(менеджер)
+78123130909+79313306292
Кинзягулов Динис
(менеджер)
+78123130909+79006350205
Даниил Лаушкин
(менеджер)
+78123130909+79006350206
Артемьев Николай
(менеджер)
+78123130909+79006350211
Роман Рыбников
(менеджер)
+78123130909+79006350186
Владислав Красовский
(менеджер)
+79531417233+78123130909
Сортировать По цене (сначала дешевые) По цене (сначала дорогие) По названию
Производитель
.
….. (8)Craft (4)FAG (6)NSK (8)Timken (1)АПП (1)ГПЗ (3)СПЗ-4 (2)
Внутренний диаметр: d
Наружный диаметр: D
Ширина: В
Тело качения
Шариковые 36
Направление нагрузки
Радиальные 36
Рядность
Однорядный 36
Уплотнение
Открытый 7 2RS 16 ZZ 14
Зазор
C3 9 CM 2 CN 25 С4 1
Серия
62 13 63 22
Сепаратор
Стальной 36
Марка автомобиля
Соответствует
Допуски и классы допусков для подшипников | Базовые знания о подшипниках
Указаны допуски подшипников и допустимые значения для граничных размеров и точности вращения подшипников.
Эти допуски предписаны в JIS B 1514-1, JIS B 1514-2 и JIS B 1514-3 (роликовые подшипники — допуски подшипников часть 1: радиальные подшипники, часть 2: упорные подшипники и часть 3: допустимые значения для фаски Габаритные размеры). (Эти стандарты JIS основаны на стандартах ISO.)
Допуски подшипников стандартизированы путем классификации подшипников по следующим шести классам (точность допусков становится выше в указанном порядке): 0, 6X, 6, 5, 4 и 2.
обеспечивают достаточную производительность для общего применения; и подшипники класса 5 или выше требуются для сложных применений и условий эксплуатации, включая те, которые описаны в Таблице 7-1 Применение высокоточных подшипников.
Эти допуски соответствуют стандартам ISO, но в некоторых странах для них используются другие названия. Допуски для каждого класса подшипников и организации, относящиеся к подшипникам, перечислены в Таблице 7-2 Тип подшипника и класс допуска.
- Точность граничных размеров (позиции по установочным размерам вала и корпуса)
- Допуски на диаметр отверстия, наружный диаметр, ширину кольца, ширину подшипника в сборе
- Допуски на установленный диаметр отверстия и установленный наружный диаметр роликов
- Пределы допуска для размеров фаски
- Допустимые значения для изменения ширины
- Допуск и допустимые значения для конического отверстия
- Точность хода (элементы биения вращающихся элементов)
- Допустимые значения радиального и осевого биения внутреннего и наружного колец
- Допустимые значения перпендикулярности поверхности внутреннего кольца
- Допустимые значения перпендикулярности внешней поверхности наружного кольца
- Допустимые значения толщины дорожек качения упорного подшипника
Точность размеров и хода каждого типа подшипника указана в таблицах
7-3 Допуски на радиальные подшипники (за исключением конических роликоподшипников) = JIS B 1514-1 =,
Таблицы 7-4 Допуски для шарикоподшипников измерительных приборов (дюймовая серия) = стандарты ANSI/ABMA = (ссылка),
Таблицы 7-5 Допуски для конических роликоподшипников метрической серии = JIS B 1514-1 =,
Таблицы 7-6 Допуски для двухрядных и четырехрядных конических роликоподшипников метрической серии (класс 0) = BAS 1002 =,
Таблицы 7-7 Допуски и допустимые значения для конических роликоподшипников дюймовой серии = ANSI/ABMA 19 =,
Таблица 7-8 Допуски для метрических конических роликоподшипников серии J 1) ,
Таблицы 7-9 Допуски для упорных шарикоподшипников = JIS B 1514-2 =,
Таблицы 7-10 Допуски для сферических упорных роликоподшипников (класс 0) = JIS B 1514-2 =;
и, допуски для конического отверстия и предельные значения для размеров фаски радиальных подшипников приведены в таблицах 7-11
Допуски и допустимые значения для конических отверстий радиальных подшипников (класс 0 ⋅⋅⋅ JIS B 1514-1) и
7-12 Допуски и допустимые значения для фланцевых радиальных шарикоподшипников.
| Требуемая производительность | Применение | Класс точности |
|---|---|---|
| Для тел качения требуется высокая точность биения. | Шпиндели акустического/визуального оборудования (видеомагнитофоны, магнитофоны) | Р5, Р4 |
| Поворотные валы радарной/параболической антенны | Р4 | |
| Шпиндели станков | П5, П4, П2, АВЕС9 | |
| Компьютеры, шпиндели магнитных дисков | П5, П4, П2, АВЕС9 | |
| Горлышки из алюминиевой фольги | Р5 | |
| Опорные подшипники многоступенчатой мельницы | Р4 | |
| Высокая скорость вращения | Стоматологические шпиндели | П2, АБМА5П, АБМА7П |
| Нагнетатели | Р5, Р4 | |
| Оси реактивных двигателей и принадлежности | Р5, Р4 | |
| Центробежные сепараторы | П5, П4 | |
| Насосы СПГ | Р5 | |
| Шпиндели турбомолекулярного насоса и устройство приземления | Р5, Р4 | |
| Шпиндели станков | П5, П4, П2, АВЕС9 | |
| Натяжные катушки | Р5, Р4 | |
Требуется вариант с низким коэффициентом трения или низким коэффициентом трения.![]() | Управляющее оборудование (синхронные двигатели, серводвигатели, гироскопы) | П4, АБМА7П |
| Измерительные инструменты | Р5 | |
| Шпиндели станков | П5, П4, П2, АВЕС9 |
PDF (Нажмите здесь)
| Тип подшипника | Применяемые стандарты | Применяемый класс точности | Таблица допусков | |||||||
|---|---|---|---|---|---|---|---|---|---|---|
| 7 Радиальный шарикоподшипник | ||||||||||
| ДЖИС Б 1514-1 | Класс 0 | – | Класс 6 | Класс 5 | Класс 4 | Класс 2 | Таблица 7-3 | |||
| Радиально-упорный шарикоподшипник | Класс 0 | – | Класс 6 | Класс 5 | Класс 4 | Класс 2 | ||||
| Самоустанавливающийся шарикоподшипник | Класс 0 | – | – | – | – | – | ||||
| Цилиндрический роликоподшипник | Класс 0 | – | Класс 6 | Класс 5 | Класс 4 | Класс 2 | ||||
| Игольчатый роликоподшипник (с механически обработанными кольцами) | ДЖИС Б 1536-1 | Класс 0 | – | – | – | – | – | |||
| Конический роликоподшипник | Метрическая серия (однорядная) | ДЖИС Б 1514-1 | Класс 0 | Класс 6X | (Класс 6) | Класс 5 | Класс 4 | Класс 2 | Таблица 7-5 | |
| Метрическая серия (двухрядная или четырехрядная) | БАС 1002 | Класс 0 | – | – | – | – | – | Таблица 7-6 | ||
| Дюймовая серия | АНСИ/АБМА | Класс 4 | – | Класс 2 | Класс 3 | Класс 0 | Класс 00 | Таблица 7-7 | ||
| Метрическая серия (серия J) | Класс ПК | – | Класс PN | Класс ПК | Класс ПБ | – | Таблица 7-8 | |||
| Сферический роликоподшипник | ДЖИС Б 1514-1 | Класс 0 | – | – | – | – | – | Таблица 7-3 | ||
| Упорный шарикоподшипник | ДЖИС Б 1514-2 | Класс 0 | – | Класс 6 | Класс 5 | Класс 4 | – | Таблица 7-9 | ||
| Сферический упорный роликоподшипник | Класс 0 | – | – | – | – | – | Таблица 7-10 | |||
| Прецизионный опорный шарико-винтовой подшипник | Стандарты JTEKT | – | – | – | Класс P5Z | Класс P4Z | – | – | ||
| Двойной упорный радиально-упорный шарикоподшипник | – | – | – | Эквивалент класса 5 | Эквивалент класса 4 | – | – | |||
| (Эталон) Сравнение классов | ISO | Радиальный подшипник | ИСО 492 | Нормальный класс | Класс 6X | Класс 6 | Класс 5 | Класс 4 | Класс 2 | – |
| Упорный подшипник | ИСО 199 | Нормальный класс | – | Класс 6 | Класс 5 | Класс 4 | – | – | ||
| DIN | Радиальные и упорные подшипники | DIN 620 | Нормальный класс | Класс 6X | Класс 6 | Класс 5 | Класс 4 | Класс 2 | – | |
| БС | БС 6107 | |||||||||
| НФ | НФ Е 22-335 | |||||||||
| ANSI | Радиальный подшипник | ABMA стд. 20 | АВЕС 1 | – | АВЕС 3 | АВЕС 5 | АВЕС 7 | АВЕС 9 | – | |
| РБЭС 1 | – | РБЭС 3 | РБЭС 5 | – | – | |||||
| Шарикоподшипник для приборов | АВМА станд. 12 | – | – | Класс 3P | Класс 5P | Класс 7P | Класс 9P | Таблица 7-4 | ||
| АБМА | Класс 5Т | Класс 7Т | ||||||||
| Конический роликоподшипник | ABMA стд. 19 | Класс 4 | – | Класс 2 | Класс 3 | Класс 0 | Класс 00 | Таблица 7-7 | ||
| Класс К | – | Класс N | Класс С | Класс В | Класс А | |||||
PDF (Нажмите здесь)
(Ссылка) Стандарты и организации, касающиеся подшипников
JIS: Японский промышленный стандарт
BAS: Стандарт Японской ассоциации производителей подшипников
ISO: Международная организация по стандартизации
ANSI: Американский национальный институт стандартов, Inc.
ABMA: Американская ассоциация производителей подшипников
DIN: Немецкий институт нормирования
BS: Британский институт стандартов
NF: Французская ассоциация нормализации
(1) Внутреннее кольцо (диаметр отверстия)
| Nominal bore diameter d mm | Single plane mean bore diameter deviation Δ d mp | Single bore diameter deviation Δ d s 1) | Single plane | bore diameter variation V d sp | Mean bore diameter variation V d mp | |||||||||||||||||||||||||||||
|---|---|---|---|---|---|---|---|---|---|---|---|---|---|---|---|---|---|---|---|---|---|---|---|---|---|---|---|---|---|---|---|---|---|---|
| Diameter series 7,8,9 | Серия диаметров 0, 1 | Серия диаметров 2, 3, 4 | Диам. серия 1) | |||||||||||||||||||||||||||||||
| класс 0 | класс 6 | класс 5 | класс 4 | класс 2 | class 4 | class 2 | class 0 | class 6 | class 5 | class 4 | class 0 | class 6 | class 5 | class 4 | class 0 | class 6 | class 5 | class 4 | class 2 | class 0 | class 6 | class 5 | class 4 | class 2 | ||||||||||
| over | up to | upper | lower | Верхний | Нижний | Верхний | Нижний | Верхний | Нижний | Верхний | Нижний | Верхний | Нижний | Верхний | Нижний | Верхний | . | макс.![]() | макс. | макс. | макс. | |||||||||||||
| – | 0,6 | 0 | -8 | 0 | -7 | 0 | -5 | 0 | -4 | 0 | -2,5 | 0 | -4 | 0 | -2,5 | 10 | 9 | 5 | 4 | 8 | 7 | 4 | 3 | 6 | 5 | 4 | 3 | 2,5 | 6 | 5 | 3 | 2 | 1,5 | |
| 0,6 | 2,5 | 0 | -8 | 0 | -7 | 0 | -5 | 0 | -4 | 0 | -2,5 | 0 | -4 | 0 | -2,5 | 10 | 9 | 5 | 4 | 8 | 7 | 4 | 3 | 6 | 5 | 4 | 3 | 2,5 | 6 | 5 | 3 | 2 | 1,5 | |
| 2,5 | 10 | 0 | -8 | 0 | -7 | 0 | -5 | 0 | -4 | 0 | -2,5 | 0 | -4 | 0 | -2,5 | 10 | 9 | 5 | 4 | 8 | 7 | 4 | 3 | 6 | 5 | 4 | 3 | 2,5 | 6 | 5 | 3 | 2 | 1,5 | |
| 10 | 18 | 0 | -8 | 0 | -7 | 0 | -5 | 0 | -4 | 0 | -2,5 | 0 | -4 | 0 | -2,5 | 10 | 9 | 5 | 4 | 8 | 7 | 4 | 3 | 6 | 5 | 4 | 3 | 2,5 | 6 | 5 | 3 | 2 | 1,5 | |
| 18 | 30 | 0 | -10 | 0 | -8 | 0 | -6 | 0 | -5 | 0 | -2,5 | 0 | -5 | 0 | -2,5 | 13 | 10 | 6 | 5 | 10 | 8 | 5 | 4 | 8 | 6 | 5 | 4 | 2,5 | 8 | 6 | 3 | 2,5 | 1,5 | |
| 30 | 50 | 0 | -12 | 0 | -10 | 0 | -8 | 0 | -6 | 0 | -2,5 | 0 | -6 | 0 | -2,5 | 15 | 13 | 8 | 6 | 12 | 10 | 6 | 5 | 9 | 8 | 6 | 5 | 2,5 | 9 | 8 | 4 | 3 | 1,5 | |
| 50 | 80 | 0 | -15 | 0 | -12 | 0 | 9 | 0 | -7 | 0 | -4 | 0 | -7 | 0 | -4 | 19 | 15 | 9 | 7 | 19 | 15 | 7 | 5 | 11 | 9 | 7 | 5 | 4 | 11 | 9 | 5 | 3,5 | 2 | |
| 80 | 120 | 0 | -20 | 0 | -15 | 0 | -10 | 0 | -8 | 0 | -5 | 0 | -8 | 0 | -5 | 25 | 19 | 10 | 8 | 25 | 19 | 8 | 6 | 15 | 11 | 8 | 6 | 5 | 15 | 11 | 5 | 4 | 2,5 | |
| 120 | 150 | 0 | -25 | 0 | -18 | 0 | -13 | 0 | -10 | 0 | -7 | 0 | -10 | 0 | -7 | 31 | 23 | 13 | 10 | 31 | 23 | 10 | 8 | 19 | 14 | 10 | 8 | 7 | 19 | 14 | 7 | 5 | 3,5 | |
| 150 | 180 | 0 | -25 | 0 | -18 | 0 | -13 | 0 | -10 | 0 | -7 | 0 | -10 | 0 | -7 | 31 | 23 | 13 | 10 | 31 | 23 | 10 | 8 | 19 | 14 | 10 | 8 | 7 | 19 | 14 | 7 | 5 | 3,5 | |
| 180 | 250 | 0 | -30 | 0 | -22 | 0 | -15 | 0 | -12 | 0 | -8 | 0 | -12 | 0 | -8 | 38 | 28 | 15 | 12 | 38 | 28 | 12 | 9 | 23 | 17 | 12 | 9 | 8 | 23 | 17 | 8 | 6 | 4 | |
| 250 | 315 | 0 | -35 | 0 | -25 | 0 | -18 | 0 | -15 | – | – | 0 | -15 | – | – | 44 | 31 | 18 | 15 | 44 | 31 | 14 | 11 | 26 | 19 | 14 | 11 | – | 26 | 19 | 9 | 8 | – | |
| 315 | 400 | 0 | -40 | 0 | -30 | 0 | -23 | 0 | -18 | – | – | 0 | -18 | – | – | 50 | 38 | 23 | 18 | 50 | 38 | 18 | 14 | 30 | 23 | 18 | 14 | – | 30 | 23 | 12 | 9 | – | |
| 400 | 500 | 0 | -45 | 0 | -35 | 0 | -28 | 0 | -23 | – | – | 0 | -23 | – | – | 56 | 44 | 28 | 23 | 56 | 44 | 21 | 17 | 34 | 26 | 21 | 17 | – | 34 | 26 | 14 | 12 | – | |
| 500 | 630 | 0 | -50 | 0 | -40 | 0 | -35 | – | – | – | – | – | – | – | – | 63 | 50 | 35 | – | 63 | 50 | 26 | – | 38 | 30 | 26 | – | – | 38 | 30 | 18 | – | – | |
| 630 | 800 | 0 | -75 | 0 | -50 | 0 | -45 | – | – | – | – | – | – | – | – | 94 | 63 | 45 | – | 94 | 63 | 34 | – | 56 | 38 | 34 | – | – | 56 | 38 | 23 | – | – | |
| 800 | 1000 | 0 | -100 | 0 | -60 | 0 | -60 | – | – | – | – | – | – | – | – | 125 | 75 | 60 | – | 125 | 75 | 45 | – | 75 | 45 | 45 | – | – | 75 | 45 | 30 | – | – | |
| 1000 | 1250 | 0 | -125 | 0 | -75 | 0 | -75 | – | – | – | – | – | – | – | – | 156 | 94 | 75 | – | 156 | 94 | 56 | – | 94 | 56 | 56 | – | – | 94 | 56 | 38 | – | – | |
| 1250 | 1600 | 0 | -160 | – | – | – | – | – | – | – | – | – | – | – | – | 200 | – | – | – | 200 | – | – | – | 120 | – | – | – | – | 120 | – | – | – | – | |
| 1600 | 2000 | 0 | -200 | – | – | – | – | – | – | – | – | – | – | – | – | 250 | – | – | – | 250 | – | – | – | 150 | – | – | – | – | 150 | – | – | – | – | |
PDF (Нажмите здесь)
(2) Внутреннее кольцо (точность вращения и ширина)
| Nominal bore diameter d mm | Radial runout of assembled bearing inner ring K ia | Perpendicularity of inner ring face with respect to the bore S D | Осевой развод собравшегося подшипника внутреннего кольца S IA 2) | ОДИНСКОЕ ВНУТРЕННЕЙ КОНТИЦИИ. B S 3) | Внутренняя вариация ширины кольца V B S 9068 | 9 | 7 B S 9068 | 5 B S | 5 B .0057 | class 4 | class 2 | class 5 | class 4 | class 2 | class 5 | class 4 | class 2 | class 0 | class 6 | class 5 | class 4 | class 2 | class 0 4) | class 6 4) | class 5 4) | class 4, 2 | class 0 | class 6 | class 5 | class 4 | класс 2 | ||||
|---|---|---|---|---|---|---|---|---|---|---|---|---|---|---|---|---|---|---|---|---|---|---|---|---|---|---|---|---|---|---|---|---|---|---|---|
| свыше | до | макс.![]() | макс. | макс. | upper | lower | upper | lower | upper | lower | upper | lower | upper | lower | upper | lower | upper | lower | upper | lower | верхний | нижний | макс. | ||||||||||||
| – | 0,6 | 10 | 5 | 4 | 2,5 | 1,5 | 7 | 3 | 1,5 | 7 | 3 | 1,5 | 0 | -40 | 0 | -40 | 0 | -40 | 0 | -40 | 0 | -40 | – | – | – | – | 0 | -250 | 0 | -250 | 12 | 12 | 5 | 2,5 | 1,5 |
| 0,6 | 2,5 | 10 | 5 | 4 | 2,5 | 1,5 | 7 | 3 | 1,5 | 7 | 3 | 1,5 | 0 | -40 | 0 | -40 | 0 | -40 | 0 | -40 | 0 | -40 | – | – | – | – | 0 | -250 | 0 | -250 | 12 | 12 | 5 | 2,5 | 1,5 |
| 2,5 | 10 | 10 | 6 | 4 | 2,5 | 1,5 | 7 | 3 | 1,5 | 7 | 3 | 1,5 | 0 | -120 | 0 | -120 | 0 | -40 | 0 | -40 | 0 | -40 | 0 | -250 | 0 | -250 | 0 | -250 | 0 | -250 | 15 | 15 | 5 | 2,5 | 1,5 |
| 10 | 18 | 10 | 7 | 4 | 2,5 | 1,5 | 7 | 3 | 1,5 | 7 | 3 | 1,5 | 0 | -120 | 0 | -120 | 0 | -80 | 0 | -80 | 0 | -80 | 0 | -250 | 0 | -250 | 0 | -250 | 0 | -250 | 20 | 20 | 5 | 2,5 | 1,5 |
| 18 | 30 | 13 | 8 | 4 | 3 | 2,5 | 8 | 4 | 1,5 | 8 | 4 | 2,5 | 0 | -120 | 0 | -120 | 0 | -120 | 0 | -120 | 0 | -120 | 0 | -250 | 0 | -250 | 0 | -250 | 0 | -250 | 20 | 20 | 5 | 2,5 | 1,5 |
| 30 | 50 | 15 | 10 | 5 | 4 | 2,5 | 8 | 4 | 1,5 | 8 | 4 | 2,5 | 0 | -120 | 0 | -120 | 0 | -120 | 0 | -120 | 0 | -120 | 0 | -250 | 0 | -250 | 0 | -250 | 0 | -250 | 20 | 20 | 5 | 3 | 1,5 |
| 50 | 80 | 20 | 10 | 5 | 4 | 2,5 | 8 | 5 | 1,5 | 8 | 5 | 2,5 | 0 | -150 | 0 | -150 | 0 | -150 | 0 | -150 | 0 | -150 | 0 | -380 | 0 | -380 | 0 | -250 | 0 | -250 | 25 | 25 | 6 | 4 | 1,5 |
| 80 | 120 | 25 | 13 | 6 | 5 | 2,5 | 9 | 5 | 2,5 | 9 | 5 | 2,5 | 0 | -200 | 0 | -200 | 0 | -200 | 0 | -200 | 0 | -200 | 0 | -380 | 0 | -380 | 0 | -380 | 0 | -380 | 25 | 25 | 7 | 4 | 2,5 |
| 120 | 150 | 30 | 18 | 8 | 6 | 2,5 | 10 | 6 | 2,5 | 10 | 7 | 2,5 | 0 | -250 | 0 | -250 | 0 | -250 | 0 | -250 | 0 | -250 | 0 | -500 | 0 | -500 | 0 | -380 | 0 | -380 | 30 | 30 | 8 | 5 | 2,5 |
| 150 | 180 | 30 | 18 | 8 | 6 | 5 | 10 | 6 | 4 | 10 | 7 | 5 | 0 | -250 | 0 | -250 | 0 | -250 | 0 | -250 | 0 | -250 | 0 | -500 | 0 | -500 | 0 | -380 | 0 | -380 | 30 | 30 | 8 | 5 | 4 |
| 180 | 250 | 40 | 20 | 10 | 8 | 5 | 11 | 7 | 5 | 13 | 8 | 5 | 0 | -300 | 0 | -300 | 0 | -300 | 0 | -300 | 0 | -300 | 0 | -500 | 0 | -500 | 0 | -500 | 0 | -500 | 30 | 30 | 10 | 6 | 5 |
| 250 | 315 | 50 | 25 | 13 | 10 | – | 13 | 8 | – | 15 | 9 | – | 0 | -350 | 0 | -350 | 0 | -350 | 0 | -350 | – | – | 0 | -500 | 0 | -500 | 0 | -500 | – | – | 35 | 35 | 13 | 8 | – |
| 315 | 400 | 60 | 30 | 15 | 13 | – | 15 | 9 | – | 20 | 12 | – | 0 | -400 | 0 | -400 | 0 | -400 | 0 | -400 | – | – | 0 | -630 | 0 | -630 | 0 | -630 | – | – | 40 | 40 | 15 | 9 | – |
| 400 | 500 | 65 | 35 | 20 | 15 | – | 18 | 11 | – | 25 | 15 | – | 0 | -450 | 0 | -450 | 0 | -450 | 0 | -450 | – | – | – | – | – | – | – | – | – | – | 50 | 45 | 18 | 11 | – |
| 500 | 630 | 70 | 40 | 25 | – | – | 25 | – | – | 30 | – | – | 0 | -500 | 0 | -500 | 0 | -500 | – | – | – | – | – | – | – | – | – | – | – | – | 60 | 50 | 20 | – | – |
| 630 | 800 | 80 | 50 | 30 | – | – | 30 | – | – | 35 | – | – | 0 | -750 | 0 | -750 | 0 | -750 | – | – | – | – | – | – | – | – | – | – | – | – | 70 | 60 | 23 | – | – |
| 800 | 1000 | 90 | 60 | 40 | – | – | 40 | – | – | 45 | – | – | 0 | -1000 | 0 | -1000 | 0 | -1000 | – | – | – | – | – | – | – | – | – | – | – | – | 80 | 60 | 35 | – | – |
| 1000 | 1250 | 100 | 70 | 50 | – | – | 50 | – | – | 60 | – | – | 0 | -1250 | 0 | -1250 | 0 | -1250 | – | – | – | – | – | – | – | – | – | – | – | – | 100 | 60 | 45 | – | – |
| 1250 | 1600 | 120 | – | – | – | – | – | – | – | – | – | – | 0 | -1600 | – | – | – | – | – | – | – | – | – | – | – | – | – | – | – | – | 120 | – | – | – | – |
| 1600 | 2000 | 140 | – | – | – | – | – | – | – | – | – | – | 0 | -2000 | – | – | – | – | – | – | – | – | – | – | – | – | – | – | – | – | 140 | – | – | – | – |
[Примечания]
1) Эти требования должны применяться к подшипникам серии диаметров 0, 1, 2, 3 и 4.
2) Эти требования должны применяться к радиальным шарикоподшипникам и радиально-упорным шарикоподшипникам.
3) Они должны применяться к отдельным кольцам подшипников, изготовленным для согласованных парных или пакетных подшипников.
4) Также применимо к внутреннему кольцу с коническим отверстием d ≧ 50 мм.
[Примечание] Значения, выделенные курсивом, предписаны стандартами JTEKT.
PDF (Нажмите здесь)
(3) Наружное кольцо (внешний диаметр)
| Номинальный наружный диам. D mm | Single plane mean outside diameter deviation Δ D mp | Single outside diameter deviation Δ D s 1) | Single plane | изменение наружного диаметра V D sp | Mean outside diameter variation V D mp | ||||||||||||||||||||||||||||||
|---|---|---|---|---|---|---|---|---|---|---|---|---|---|---|---|---|---|---|---|---|---|---|---|---|---|---|---|---|---|---|---|---|---|---|---|
| Diameter series 7, 8, 9 | Diameter series 0, 1 | Diameter series 2, 3, 4 | Диам. series 1) | Shielded/sealed type | |||||||||||||||||||||||||||||||
| Diameter series | |||||||||||||||||||||||||||||||||||
| 2,3,4 | 0,1,2,3,4 | ||||||||||||||||||||||||||||||||||
| class 0 | class 6 | class 5 | class 4 | class 2 | class 4 5) | class 2 | class 0 2) | class 6 2) | class 5 5) | class 4 5 ) | class 0 2) | class 6 2) | class 5 5) | class 4 5) | class 0 2) | class 6 2) | класс 5 5) | class 4 5) | class 2 | class 0 2) | class 6 2) | class 0 2) | class 6 2) | class 5 | class 4 | class 2 | |||||||||
| over | up to | upper | lower | upper | lower | upper | lower | upper | lower | upper | lower | верхний | нижний | верхний | нижний | макс.![]() | макс. | макс. | макс. | макс. | макс. | ||||||||||||||
| – | 2,5 | 0 | -8 | 0 | -7 | 0 | -5 | 0 | -4 | 0 | -2,5 | 0 | -4 | 0 | -2,5 | 10 | 9 | 5 | 4 | 8 | 7 | 4 | 3 | 6 | 5 | 4 | 3 | 2,5 | 10 | 9 | 6 | 5 | 3 | 2 | 1,5 |
| 2,5 | 6 | – | -8 | 0 | -7 | 0 | -5 | 0 | -4 | 0 | -2,5 | 0 | -4 | 0 | -2,5 | 10 | 9 | 5 | 4 | 8 | 7 | 4 | 3 | 6 | 5 | 4 | 3 | 2,5 | 10 | 9 | 6 | 5 | 3 | 2 | 1,5 |
| 6 | 18 | 0 | -8 | 0 | -7 | 0 | -5 | 0 | -4 | 0 | -2,5 | 0 | -4 | 0 | -2,5 | 10 | 9 | 5 | 4 | 8 | 7 | 4 | 3 | 6 | 5 | 4 | 3 | 2,5 | 10 | 9 | 6 | 5 | 3 | 2 | 1,5 |
| 18 | 30 | 0 | -9 | 0 | -8 | 0 | -6 | 0 | -5 | 0 | -4 | 0 | -5 | 0 | -4 | 12 | 10 | 6 | 5 | 9 | 8 | 5 | 4 | 7 | 6 | 5 | 4 | 4 | 12 | 10 | 7 | 6 | 3 | 2,5 | 2 |
| 30 | 50 | 0 | -11 | 0 | -9 | 0 | -7 | 0 | -6 | 0 | -4 | 0 | -6 | 0 | -4 | 14 | 11 | 7 | 6 | 11 | 9 | 5 | 5 | 8 | 7 | 5 | 5 | 4 | 16 | 13 | 8 | 7 | 4 | 3 | 2 |
| 50 | 80 | 0 | -13 | 0 | -11 | 0 | -9 | 0 | -7 | 0 | -4 | 0 | -7 | 0 | -4 | 16 | 14 | 9 | 7 | 13 | 11 | 7 | 5 | 10 | 8 | 7 | 5 | 4 | 20 | 16 | 10 | 8 | 5 | 3,5 | 2 |
| 80 | 120 | 0 | -15 | 0 | -13 | 0 | -10 | 0 | -8 | 0 | -5 | 0 | -8 | 0 | -5 | 19 | 16 | 10 | 8 | 19 | 16 | 8 | 6 | 11 | 10 | 8 | 6 | 5 | 26 | 20 | 11 | 10 | 5 | 4 | 2,5 |
| 120 | 150 | 0 | -18 | 0 | -15 | 0 | -11 | 0 | -9 | 0 | -5 | 0 | -9 | 0 | -5 | 23 | 19 | 11 | 9 | 23 | 19 | 8 | 7 | 14 | 11 | 8 | 7 | 5 | 30 | 25 | 14 | 11 | 6 | 5 | 2,5 |
| 150 | 180 | 0 | -25 | 0 | -18 | 0 | -13 | 0 | -10 | 0 | -7 | 0 | -10 | 0 | -7 | 31 | 23 | 13 | 10 | 31 | 23 | 10 | 8 | 19 | 14 | 10 | 8 | 7 | 38 | 30 | 19 | 14 | 7 | 5 | 3,5 |
| 180 | 250 | 0 | -30 | 0 | -20 | 0 | -15 | 0 | -11 | 0 | -8 | 0 | -11 | 0 | -8 | 38 | 25 | 15 | 11 | 38 | 25 | 11 | 8 | 23 | 15 | 11 | 8 | 8 | – | – | 23 | 15 | 8 | 6 | 4 |
| 250 | 315 | 0 | -35 | 0 | -25 | 0 | -18 | 0 | -13 | 0 | -8 | 0 | -13 | 0 | -8 | 44 | 31 | 18 | 13 | 44 | 31 | 14 | 10 | 26 | 19 | 14 | 10 | 8 | – | – | 26 | 19 | 9 | 7 | 4 |
| 315 | 400 | 0 | -40 | 0 | -28 | 0 | -20 | 0 | -15 | 0 | -10 | 0 | -15 | 0 | -10 | 50 | 35 | 20 | 15 | 50 | 35 | 15 | 11 | 30 | 21 | 15 | 11 | 10 | – | – | 30 | 21 | 10 | 8 | 5 |
| 400 | 500 | 0 | -45 | 0 | -33 | 0 | -23 | 0 | -17 | – | – | 0 | -17 | – | – | 56 | 41 | 23 | 17 | 56 | 41 | 17 | 13 | 34 | 25 | 17 | 13 | – | – | – | 34 | 25 | 12 | 9 | – |
| 500 | 630 | 0 | -50 | 0 | -38 | 0 | -28 | 0 | -20 | – | – | 0 | -20 | – | – | 63 | 48 | 28 | 20 | 63 | 48 | 21 | 15 | 38 | 29 | 21 | 15 | – | – | – | 38 | 29 | 14 | 10 | – |
| 630 | 800 | 0 | -75 | 0 | -45 | 0 | -35 | – | – | – | – | – | – | – | – | 94 | 56 | 35 | – | 94 | 56 | 26 | – | 55 | 34 | 26 | – | – | – | – | 55 | 34 | 18 | – | – |
| 800 | 1000 | 0 | -100 | 0 | -60 | 0 | -50 | – | – | – | – | – | – | – | – | 125 | 75 | 50 | – | 125 | 75 | 38 | – | 75 | 45 | 38 | – | – | – | – | 75 | 45 | 25 | – | – |
| 1000 | 1250 | 0 | -125 | 0 | -75 | 0 | -63 | – | – | – | – | – | – | – | – | 156 | 94 | 63 | – | 156 | 94 | 47 | – | 94 | 56 | 47 | – | – | – | – | 94 | 56 | 31 | – | – |
| 1250 | 1600 | 0 | -160 | 0 | -90 | 0 | -80 | – | – | – | – | – | – | – | – | 200 | 113 | 80 | – | 200 | 113 | 60 | – | 120 | 68 | 60 | – | – | – | – | 120 | 68 | 40 | – | – |
| 1600 | 2000 | 0 | -200 | 0 | -120 | – | – | – | – | – | – | – | – | – | – | 250 | 150 | – | – | 250 | 150 | – | – | 150 | 90 | – | – | – | – | – | 150 | 90 | – | – | – |
| 2000 | 2500 | 0 | -250 | – | – | – | – | – | – | – | – | – | – | – | – | 313 | – | – | – | 313 | – | – | – | 188 | – | – | – | – | – | – | 188 | – | – | – | – |
PDF (Нажмите здесь)
(4) Наружное кольцо (точность вращения и ширина)
Номинальный наружный диам. D мм | Радиальное развод собравшегося наружного кольца подшипника K EA | Perpendicularity Outest Surface Внешнем кольце. наружного кольца подшипника в сборе S шт.0046 | Изменение ширины кольца V C S 3) | |||||||||||||||
|---|---|---|---|---|---|---|---|---|---|---|---|---|---|---|---|---|---|---|
| Class 0 | Class 6 | 5 | Class 0 | . | class 2 | class 5 | class 4 | class 2 | classes 0,6,5,4,2 | classes 0,6 | class 5 | class 4 | class 2 | |||||
| старше | до | макс. | макс. | макс. | верхний | нижний | макс. | |||||||||||
| – | 2,5 | 15 | 8 | 5 | 3 | 1,5 | 8 | 4 | 1,5 | 8 | 5 | 1,5 | Должен соответствовать допуску Δ B s на d того же подшипника | Должен соответствовать допуску V B s на d того же подшипника | 5 | 2,5 | 1,5 | |
| 2,5 | 6 | 15 | 8 | 5 | 3 | 1,5 | 8 | 4 | 1,5 | 8 | 5 | 1,5 | 5 | 2,5 | 1,5 | |||
| 6 | 18 | 15 | 8 | 5 | 3 | 1,5 | 8 | 4 | 1,5 | 8 | 5 | 1,5 | 5 | 2,5 | 1,5 | |||
| 18 | 30 | 15 | 9 | 6 | 4 | 2,5 | 8 | 4 | 1,5 | 8 | 5 | 2,5 | 5 | 2,5 | 1,5 | |||
| 30 | 50 | 20 | 10 | 7 | 5 | 2,5 | 8 | 4 | 1,5 | 8 | 5 | 2,5 | 5 | 2,5 | 1,5 | |||
| 50 | 80 | 25 | 13 | 8 | 5 | 4 | 8 | 4 | 1,5 | 10 | 5 | 4 | 6 | 3 | 1,5 | |||
| 80 | 120 | 35 | 18 | 10 | 6 | 5 | 9 | 5 | 2,5 | 11 | 6 | 5 | 8 | 4 | 2,5 | |||
| 120 | 150 | 40 | 20 | 11 | 7 | 5 | 10 | 5 | 2,5 | 13 | 7 | 5 | 8 | 5 | 2,5 | |||
| 150 | 180 | 45 | 23 | 13 | 8 | 5 | 10 | 5 | 2,5 | 14 | 8 | 5 | 8 | 5 | 2,5 | |||
| 180 | 250 | 50 | 25 | 15 | 10 | 7 | 11 | 7 | 4 | 15 | 10 | 7 | 10 | 7 | 4 | |||
| 250 | 315 | 60 | 30 | 18 | 11 | 7 | 13 | 8 | 5 | 18 | 10 | 7 | 11 | 7 | 5 | |||
| 315 | 400 | 70 | 35 | 20 | 13 | 8 | 13 | 10 | 7 | 20 | 13 | 8 | 13 | 8 | 7 | |||
| 400 | 500 | 80 | 40 | 23 | 15 | – | 15 | 12 | – | 23 | 15 | – | 15 | 9 | – | |||
| 500 | 630 | 100 | 50 | 25 | 18 | – | 18 | 13 | – | 25 | 18 | – | 18 | 11 | – | |||
| 630 | 800 | 120 | 60 | 30 | – | – | 20 | – | – | 30 | – | – | 20 | – | – | |||
| 800 | 1000 | 140 | 75 | 40 | – | – | 23 | – | – | 40 | – | – | 23 | – | – | |||
| 1000 | 1250 | 160 | 85 | 45 | – | – | 30 | – | – | 45 | – | – | 30 | – | – | |||
| 1250 | 1600 | 190 | 95 | 60 | – | – | 45 | – | – | 60 | – | – | 45 | – | – | |||
| 1600 | 2000 | 220 | 110 | – | – | – | – | – | – | – | – | – | – | – | – | |||
| 2000 | 2500 | 250 | – | – | – | – | – | – | – | – | – | – | – | – | – | |||
[Примечания]
1) Применяется к подшипникам серий диаметров 0, 1, 2, 3 и 4.
2) Применяется, когда стопорное кольцо не установлено.
3) Они должны применяться к радиальным шарикоподшипникам и радиально-упорным шарикоподшипникам.
4) Они не должны применяться к фланцевым подшипникам.
5) Они не должны применяться к экранированным подшипникам и подшипникам с уплотнениями.
[Примечание] Значения, выделенные курсивом, предписаны стандартами JTEKT.
PDF (Нажмите здесь)
(1) Ширина внутреннего и наружного кольца
| Номинальный диаметр отверстия д mm | Single plane mean bore diameter deviation Δ d mp | Single bore diameter deviation Δ d s | Single plane bore diameter variation V d sp | Изменение среднего диаметра отверстия V d mp | Радиальное биение внутреннего кольца подшипника в сборе K | 5 ia0668 | Axial runout of assembled bearing inner ring S ia | Perpendicularity of inner ring face with respect to the bore S d | Single inner or outer ring width deviation Δ B s , Δ C s | Inner or outer ring width variation V B s , V C s | ||||||||||||||||||
|---|---|---|---|---|---|---|---|---|---|---|---|---|---|---|---|---|---|---|---|---|---|---|---|---|---|---|---|---|
| Classes 5P, 7P | Class 9P | Classes 5P, 7P | Class 9P | Classes 5P, 7P | Class 9P | Classes 5P, 7P | Класс 9P | Класс 5P | Класс 7P | Класс 9P | Класс 5P | Класс 7P | Класс | . Классия 5P | | 5P | | .0057 | Класс 9P | Классы 5p, 7p, 9p | Класс 5p | Класс | ||||||
| СВЕДЕНИЯ | ||||||||||||||||||||||||||||
| . | верхний | нижний | верхний | нижний | макс. | макс. | макс. | макс. | макс. | верхний | нижний | макс. | ||||||||||||||||
| – | 10 | 0 | -5,1 | 0 | -2,5 | 0 | -5,1 | 0 | -2,5 | 2,5 | 1,3 | 2,5 | 1,3 | 3,8 | 2,5 | 1,3 | 7,6 | 2,5 | 1,3 | 7,6 | 2,5 | 1,3 | 0 | -25,4 | 5,1 | 2,5 | 1,3 | |
| 10 | 18 | 0 | -5,1 | 0 | -2,5 | 0 | -5,1 | 0 | -2,5 | 2,5 | 1,3 | 2,5 | 1,3 | 3,8 | 2,5 | 1,3 | 7,6 | 2,5 | 1,3 | 7,6 | 2,5 | 1,3 | 0 | -25,4 | 5,1 | 2,5 | 1,3 | |
| 18 | 30 | 0 | -5,1 | 0 | -2,5 | 0 | -5,1 | 0 | -2,5 | 2,5 | 1,3 | 2,5 | 1,3 | 3,8 | 3,8 | 2,5 | 7,6 | 3,8 | 1,3 | 7,6 | 3,8 | 1,3 | 0 | -25,4 | 5,1 | 2,5 | 1,3 | |
PDF (Нажмите здесь)
(2) Наружное кольцо
Номинальный наружный диам. D мм | Среднее одностороннее отклонение от диаметра Δ D MP | ОДИН ВНУТРЕННЫЙ DIAMETER.0657 V D sp | Mean outside diameter variation V D mp | Radial runout of assembled bearing outer ring K ea | Axial runout of assembled bearing outer ring S шт. | Перпендикулярность наружной поверхности наружного кольца по отношению к торцу S D | Отклонение наружного диаметра фланца одиночного наружного кольца Δ D 1s | Single outer ring flange width deviation Δ C 1s | ||||||||||||||||||||||||
|---|---|---|---|---|---|---|---|---|---|---|---|---|---|---|---|---|---|---|---|---|---|---|---|---|---|---|---|---|---|---|---|---|
| Class 5P, 7P | Class 9P | Classes 5P, 7P | Class 9P | Classes 5P, 7P | Class 9P | Classes 5P, 7P | Class 9P | Class 5P | Class 7P | Class 9P | Class 5P | Class 7P | Class 9P | Class 5P | Class 7P | Class 9P | Classes 5P, 7P | Classes 5P, 7P | ||||||||||||||
| Open тип | Экранированный/герметичный тип | Открытый тип | Открытый тип | Экранированный/герметичный тип | Открытый тип | Открытый тип | Экранированный/герметичный тип | |||||||||||||||||||||||||
| Более | До | Верхний | Нижний | Верхний | Нижний | Верхний | Нижний | Верхний | Нижний | Верхний | Нижний | Верхний | Нижний | .![]() | макс. | макс. | макс. | макс. | верхний | нижний | верхний | нижний | ||||||||||
| – | 18 | 0 | -5,1 | 0 | -2,5 | 0 | -5,1 | + 1 | -6,1 | 0 | -2,5 | 2,5 | 5,1 | 1,3 | 2,5 | 5,1 | 1,3 | 5,1 | 3,8 | 1,3 | 7,6 | 5,1 | 1,3 | 7,6 | 3,8 | 1,3 | 0 | -25,4 | 0 | -50,8 | ||
| 18 | 30 | 0 | -5,1 | 0 | -3,8 | 0 | -5,1 | + 1 | -6,1 | 0 | -3,8 | 2,5 | 5,1 | 2 | 2,5 | 5,1 | 2 | 5,1 | 3,8 | 2,5 | 7,6 | 5,1 | 2,5 | 7,6 | 3,8 | 1,3 | 0 | -25,4 | 0 | -50,8 | ||
| 30 | 50 | 0 | -5,1 | 0 | -3,8 | 0 | -5,1 | + 1 | -6,1 | 0 | -3,8 | 2,5 | 5,1 | 2 | 2,5 | 5,1 | 2 | 5,1 | 5,1 | 2,5 | 7,6 | 5,1 | 2,5 | 7,6 | 3,8 | 1,3 | 0 | -25,4 | 0 | -50,8 | ||
PDF (Нажмите здесь)
(1) Внутреннее кольцо
| Nominal bore diameter d mm | Single plane mean bore diameter deviation Δ d mp | Single bore diameter deviation Δ d s | Single plane изменение диаметра отверстия V d sp | Mean bore diameter variation V d mp | Radial runout of assembled bearing inner ring K ia | perpendicularity of inner ring face with относительно отверстия S d | осевое биение внутреннего кольца подшипника в сборе S ia | Отклонение ширины одного внутреннего кольца Δ B S | ||||||||||||||||||||||||||||||||||||||||||||||||||||||||||||||||||||||||||
|---|---|---|---|---|---|---|---|---|---|---|---|---|---|---|---|---|---|---|---|---|---|---|---|---|---|---|---|---|---|---|---|---|---|---|---|---|---|---|---|---|---|---|---|---|---|---|---|---|---|---|---|---|---|---|---|---|---|---|---|---|---|---|---|---|---|---|---|---|---|---|---|---|---|---|---|---|---|---|---|---|---|---|
| Класс 0, 6x | Классы 6, 5 | Класс 4 | Класс 2 | Класс 4 | Класс 2 | класс 4 | . 6 | Класс 5 | Класс 4 | Класс 2 | Классы 0, 6x | Класс 6 | Класс 5 | Класс 4 | Класс 2 | КЛАССА 0,6X | КЛАСС 2 | КЛАССА 0,6X | . | class 4 | class 2 | class 5 | class 4 | class 2 | class 4 | class 2 | class 0 | class 6X | class 6 | classes 5, 4 | class 2 | |||||||||||||||||||||||||||||||||||||||||||||||||||
| over | up to | upper | lower | upper | lower | upper | lower | upper | lower | upper | lower | upper | нижний | макс. | макс. | макс. | макс. | макс. | Верхний | Нижний | Верхний | Нижний | Верхний | Нижний | Верх.![]() | 0 | -12 | 0 | -7 1) | 0 | -5 | 0 | -4 | 0 | -5 | 0 | -4 | 12 | – | 5 | 4 | 2,5 | 9 | – | 5 | 4 | 1,5 | 15 | – | 5 | 3 | 2 | 7 | 3 | 1,5 | 3 | 2 | 0 | -120 | 0 | -50 | – | – | 0 | -200 | 0 | -200 | |||||||||||||||
| 10 | 18 | 0 | -12 | 0 | -7 | 0 | -5 | 0 | -4 | 0 | -5 | 0 | -4 | 12 | 7 | 5 | 4 | 2,5 | 9 | 5 | 5 | 4 | 1,5 | 15 | 7 | 5 | 3 | 2 | 7 | 3 | 1,5 | 3 | 2 | 0 | -120 | 0 | -50 | 0 | -120 | 0 | -200 | 0 | -200 | |||||||||||||||||||||||||||||||||||||||
| 18 | 30 | 0 | -12 | 0 | -8 | 0 | -6 | 0 | -4 | 0 | -6 | 0 | -4 | 12 | 8 | 6 | 5 | 2,5 | 9 | 6 | 5 | 4 | 1,5 | 18 | 8 | 5 | 3 | 2,5 | 8 | 4 | 1,5 | 4 | 2,5 | 0 | -120 | 0 | -50 | 0 | -120 | 0 | -200 | 0 | -200 | |||||||||||||||||||||||||||||||||||||||
| 30 | 50 | 0 | -12 | 0 | -10 | 0 | -8 | 0 | -5 | 0 | -8 | 0 | -5 | 12 | 10 | 8 | 6 | 3 | 9 | 8 | 5 | 5 | 2 | 20 | 10 | 6 | 4 | 2,5 | 8 | 4 | 2 | 4 | 2,5 | 0 | -120 | 0 | -50 | 0 | -120 | 0 | -240 | 0 | -240 | |||||||||||||||||||||||||||||||||||||||
| 50 | 80 | 0 | -15 | 0 | -12 | 0 | -9 | 0 | -5 | 0 | -9 | 0 | -5 | 15 | 12 | 9 | 7 | 4 | 11 | 9 | 6 | 5 | 2 | 25 | 10 | 7 | 4 | 3 | 8 | 5 | 2 | 4 | 3 | 0 | -150 | 0 | -50 | 0 | -150 | 0 | -300 | 0 | -300 | |||||||||||||||||||||||||||||||||||||||
| 80 | 120 | 0 | -20 | 0 | -15 | 0 | -10 | 0 | -6 | 0 | -10 | 0 | -6 | 20 | 15 | 11 | 8 | 5 | 15 | 11 | 8 | 5 | 2,5 | 30 | 13 | 8 | 5 | 3 | 9 | 5 | 2,5 | 5 | 3 | 0 | -200 | 0 | -50 | 0 | -200 | 0 | -400 | 0 | -400 | |||||||||||||||||||||||||||||||||||||||
| 120 | 180 | 0 | -25 | 0 | -18 | 0 | -13 | 0 | -7 | 0 | -13 | 0 | -7 | 25 | 18 | 14 | 10 | 7 | 19 | 14 | 9 | 7 | 3,5 | 35 | 18 | 11 | 6 | 4 | 10 | 6 | 3,5 | 7 | 4 | 0 | -250 | 0 | -50 | 0 | -250 | 0 | -500 | 0 | -500 | |||||||||||||||||||||||||||||||||||||||
| 180 | 250 | 0 | -30 | 0 | -22 | 0 | -15 | 0 | -8 | 0 | -15 | 0 | -8 | 30 | 22 | 17 | 11 | 7 | 23 | 16 | 11 | 8 | 4 | 50 | 20 | 13 | 8 | 5 | 11 | 7 | 5 | 8 | 5 | 0 | -300 | 0 | -50 | 0 | -300 | 0 | -600 | 0 | -600 | |||||||||||||||||||||||||||||||||||||||
| 250 | 315 | 0 | -35 | 0 | -25 1) | 0 | -18 | 0 | -8 | 0 | -18 | 0 | -8 | 35 | 25 | 19 | 12 | 8 | 26 | 19 | 13 | 9 | 5 | 60 | 30 | 13 | 9 | 6 | 13 | 8 | 5,5 | 9 | 6 | 0 | -350 | 0 | -50 | 0 | -350 | 0 | -700 | 0 | -700 | |||||||||||||||||||||||||||||||||||||||
| 315 | 400 | 0 | -40 | 0 | -30 1) | – | – | – | – | – | – | – | – | 40 | 30 | 23 | – | – | 30 | 23 | 15 | – | – | 70 | 35 | 15 | – | – | 15 | – | – | – | – | 0 | -400 | 0 | -50 | 0 | -400 | 0 | -800 2) | – | – | |||||||||||||||||||||||||||||||||||||||
| 400 | 500 | 0 | -45 | 0 | -35 1) | – | – | – | – | – | – | – | – | 45 | 35 | 28 | – | – | 34 | 26 | 17 | – | – | 80 | 40 | 20 | – | – | 17 | – | – | – | – | 0 | -450 | 0 | -50 | 0 | -450 | 0 | -900 2) | – | – | |||||||||||||||||||||||||||||||||||||||
| 500 | 630 | 0 | -60 | 0 | -40 1) | – | – | – | – | – | – | – | – | 60 | 40 | 35 | – | – | 40 | 30 | 20 | – | – | 90 | 50 | 25 | – | – | 20 | – | – | – | – | 0 | -500 | – | – | 0 | -500 | 0 | -1100 2) | – | – | |||||||||||||||||||||||||||||||||||||||
| 630 | 800 | 0 | -75 | 0 | -50 1) | – | – | – | – | – | – | – | – | 75 | 50 | 45 | – | – | 45 | 38 | 25 | – | – | 100 | 60 | 30 | – | – | 25 | – | – | – | – | 0 | -750 | – | – | 0 | -750 | 0 | -1600 2) | – | – | |||||||||||||||||||||||||||||||||||||||
| 800 | 1000 | 0 | -100 | 0 | -60 1) | – | – | – | – | – | – | – | – | 100 | 60 | 60 | – | – | 55 | 45 | 30 | – | – | 115 | 75 | 37 | – | – | 30 | – | – | – | – | 0 | -1000 | – | – | 0 | -1000 | 0 | -2000 2) | – | – | |||||||||||||||||||||||||||||||||||||||
PDF (Нажмите здесь)
(2-1) Наружное кольцо
| Номинальный наружный диаметр D мм | Отклонение среднего наружного диаметра в одной плоскости Δ D mp | Single outside diameter deviation Δ D s | Single plane outside diameter variation V D sp | Mean outside diameter variation V D mp | Радиальное биение наружного кольца подшипника в сборе K шт. | перпендикулярность наружной поверхности наружного кольца относительно торца S D 3) | Осевой развод собравшегося наружного кольца подшипника S EA 3) | 3) | 90053) | 90053) | 90053) | 9005 3).| Класс 2 | Класс 4 | Класс 2 | Классы 0, 6x | Класс 6 | Класс 5 | Класс 4 | Класс 2 | КЛАСС 0, 6x | CLASS 6 | .0056 Класс 4 | Класс 2 | Классы 0,6X | Класс 6 | Класс 5 | Класс 4 | Класс 2 | Класс 5 | Класс 4 | класс 2 | | 40057 | класс 2 | 40057 | класса 2 | 40057 | класса 277777.
|---|---|---|---|---|---|---|---|---|---|---|---|---|---|---|---|---|---|---|---|---|---|---|---|---|---|---|---|---|---|---|---|---|---|
| over | up to | upper | lower | upper | lower | upper | lower | upper | lower | upper | lower | upper | нижний | макс. | макс. | макс. | макс. | макс. | |||||||||||||||
| – | 18 | 0 | -12 | 0 | -8 1) | 0 | -6 | 0 | -5 | 0 | -6 | 0 | -5 | 12 | – | 6 | 5 | 4 | 9 | – | 5 | 4 | 2,5 | 18 | – | 6 | 4 | 2,5 | 8 | 4 | 1,5 | 5 | 2,5 |
| 18 | 30 | 0 | -12 | 0 | -8 | 0 | -6 | 0 | -5 | 0 | -6 | 0 | -5 | 12 | 8 | 6 | 5 | 4 | 9 | 6 | 5 | 4 | 2,5 | 18 | 9 | 6 | 4 | 2,5 | 8 | 4 | 1,5 | 5 | 2,5 |
| 30 | 50 | 0 | -14 | 0 | -9 | 0 | -7 | 0 | -5 | 0 | -7 | 0 | -5 | 14 | 9 | 7 | 5 | 4 | 11 | 7 | 5 | 5 | 2,5 | 20 | 10 | 7 | 5 | 2,5 | 8 | 4 | 2 | 5 | 2,5 |
| 50 | 80 | 0 | -16 | 0 | -11 | 0 | -9 | 0 | -6 | 0 | -9 | 0 | -6 | 16 | 11 | 8 | 7 | 4 | 12 | 8 | 6 | 5 | 2,5 | 25 | 13 | 8 | 5 | 4 | 8 | 4 | 2,5 | 5 | 4 |
| 80 | 120 | 0 | -18 | 0 | -13 | 0 | -10 | 0 | -6 | 0 | -10 | 0 | -6 | 18 | 13 | 10 | 8 | 5 | 14 | 10 | 7 | 5 | 3 | 35 | 18 | 10 | 6 | 5 | 9 | 5 | 3 | 6 | 5 |
| 120 | 150 | 0 | -20 | 0 | -15 | 0 | -11 | 0 | -7 | 0 | -11 | 0 | -7 | 20 | 15 | 11 | 8 | 5 | 15 | 11 | 8 | 6 | 3,5 | 40 | 20 | 11 | 7 | 5 | 10 | 5 | 3,5 | 7 | 5 |
| 150 | 180 | 0 | -25 | 0 | -18 | 0 | -13 | 0 | -7 | 0 | -13 | 0 | -7 | 25 | 18 | 14 | 10 | 7 | 19 | 14 | 9 | 7 | 4 | 45 | 23 | 13 | 8 | 5 | 10 | 5 | 4 | 8 | 5 |
| 180 | 250 | 0 | -30 | 0 | -20 | 0 | -15 | 0 | -8 | 0 | -15 | 0 | -8 | 30 | 20 | 15 | 11 | 8 | 23 | 15 | 10 | 8 | 5 | 50 | 25 | 15 | 10 | 7 | 11 | 7 | 5 | 10 | 7 |
| 250 | 315 | 0 | -35 | 0 | -25 | 0 | -18 | 0 | -9 | 0 | -18 | 0 | -9 | 35 | 25 | 19 | 14 | 8 | 26 | 19 | 13 | 9 | 5 | 60 | 30 | 18 | 11 | 7 | 13 | 8 | 6 | 10 | 7 |
| 315 | 400 | 0 | -40 | 0 | -28 | 0 | -20 | 0 | -10 | 0 | -20 | 0 | -10 | 40 | 28 | 22 | 15 | 10 | 30 | 21 | 14 | 10 | 6 | 70 | 35 | 20 | 13 | 8 | 13 | 10 | 7 | 13 | 8 |
| 400 | 500 | 0 | -45 | 0 | -33 1) | – | – | – | – | – | – | – | – | 45 | 33 | 26 | – | – | 34 | 25 | 17 | – | – | 80 | 40 | 24 | – | – | 17 | – | – | – | – |
| 500 | 630 | 0 | -50 | 0 | -38 1) | – | – | – | – | – | – | – | – | 60 | 38 | 30 | – | – | 38 | 29 | 20 | – | – | 100 | 50 | 30 | – | – | 20 | – | – | – | – |
| 630 | 800 | 0 | -75 | 0 | -45 1) | – | – | – | – | – | – | – | – | 80 | 45 | 38 | – | – | 55 | 34 | 25 | – | – | 120 | 60 | 36 | – | – | 25 | – | – | – | – |
| 800 | 1000 | 0 | -100 | 0 | -60 1) | – | – | – | – | – | – | – | – | 100 | 60 | 50 | – | – | 75 | 45 | 30 | – | – | 140 | 75 | 43 | – | – | 30 | – | – | – | – |
| 1000 | 1250 | 0 | -125 | 0 | -80 1) | – | – | – | – | – | – | – | – | 130 | 75 | 65 | – | – | 90 | 56 | 38 | – | – | 160 | 85 | 52 | – | – | 38 | – | – | – | – |
| 1250 | 1600 | 0 | -160 | 0 | -100 1) | – | – | – | – | – | – | – | – | 170 | 90 | 90 | – | – | 100 | 68 | 50 | – | – | 180 | 95 | 62 | – | – | 50 | – | – | – | – |
PDF (Нажмите здесь)
(2-2) Наружное кольцо
| Номинальный диаметр отверстия d мм | Отклонение ширины одинарного наружного кольца Δ C s | class 6X | classes 0,6,5,4,2 | ||
|---|---|---|---|---|---|
| over | up to | upper | lower | upper | lower |
| – | 10 | 0 | -100 | Должен соответствовать допуску Δ B s на d того же подшипника | |
| 10 | 18 | 0 | -100 | ||
| 18 | 30 | 0 | -100 | ||
| 30 | 50 | 0 | -100 | ||
| 50 | 80 | 0 | -100 | ||
| 80 | 120 | 0 | -100 | ||
| 120 | 180 | 0 | -100 | ||
| 180 | 250 | 0 | -100 | ||
| 250 | 315 | 0 | -100 | ||
| 315 | 400 | 0 | -100 | ||
| 400 | 500 | 0 | -100 | ||
| 500 | 630 | – | – | ||
| 630 | 800 | – | – | ||
| 800 | 1000 | – | – | ||
[Примечания]
1) Значения класса 6 предписаны стандартами JTEKT.
2) Они должны применяться к подшипникам класса точности 5.
3) Эти требования не должны применяться к фланцевым подшипникам.
[Примечание] Значения, выделенные курсивом, предписаны стандартами JTEKT.
PDF (Нажмите здесь)
(3) Ширина подшипника в сборе и полезная ширина
| Номинальный диаметр отверстия d mm | Actual bearing width deviation Δ T s | Actual effective inner sub-unit width deviation Δ T 1s | Actual effective outer ring width deviation Δ T 2S | ||||||||||||||||||||||||
|---|---|---|---|---|---|---|---|---|---|---|---|---|---|---|---|---|---|---|---|---|---|---|---|---|---|---|---|
| Класс 0 | Класс 6x | Класс 6 | Классы 5, 4 | Класс 2 | Классия 0 9007 9057 | . 0714 Классы 5, 4 級 | Класс 2 | Класс 0 | Класс 6x | КЛАСС 5, 4 級 | Класс 2 | ||||||||||||||||
| Более | до | ||||||||||||||||||||||||||
| до | |||||||||||||||||||||||||||
| до | |||||||||||||||||||||||||||
| . | upper | lower | upper | lower | upper | lower | upper | lower | upper | lower | upper | lower | upper | lower | upper | lower | upper | lower | upper | lower | upper | lower | |||||
| – | 10 | +200 | 0 | +100 | 0 | – | – | +200 | -200 | +200 | -200 | +100 | 0 | +50 | 0 | +100 | -100 | +100 | -100 | +100 | 0 | +50 | 0 | +100 | -100 | +100 | -100 |
| 10 | 18 | +200 | 0 | +100 | 0 | +200 | 0 | +200 | -200 | +200 | -200 | +100 | 0 | +50 | 0 | +100 | -100 | +100 | -100 | +100 | 0 | +50 | 0 | +100 | -100 | +100 | -100 |
| 18 | 30 | +200 | 0 | +100 | 0 | +200 | 0 | +200 | -200 | +200 | -200 | +100 | 0 | +50 | 0 | +100 | -100 | +100 | -100 | +100 | 0 | +50 | 0 | +100 | -100 | +100 | -100 |
| 30 | 50 | +200 | 0 | +100 | 0 | +200 | 0 | +200 | -200 | +200 | -200 | +100 | 0 | +50 | 0 | +100 | -100 | +100 | -100 | +100 | 0 | +50 | 0 | +100 | -100 | +100 | -100 |
| 50 | 80 | +200 | 0 | +100 | 0 | +200 | 0 | +200 | -200 | +200 | -200 | +100 | 0 | +50 | 0 | +100 | -100 | +100 | -100 | +100 | 0 | +50 | 0 | +100 | -100 | +100 | -100 |
| 80 | 120 | +200 | -200 | +100 | 0 | +200 | -200 | +200 | -200 | +200 | -200 | +100 | -100 | +50 | 0 | +100 | -100 | +100 | -100 | +100 | -100 | +50 | 0 | +100 | -100 | +100 | -100 |
| 120 | 180 | +350 | -250 | +150 | 0 | +350 | -250 | +350 | -250 | +200 | -250 | +150 | -150 | +50 | 0 | +150 | -150 | +100 | -100 | +200 | -100 | +100 | 0 | +200 | -100 | +100 | -150 |
| 180 | 250 | +350 | -250 | +150 | 0 | +350 | -250 | +350 | -250 | +200 | -300 | +150 | -150 | +50 | 0 | +150 | -150 | +100 | -150 | +200 | -100 | +100 | 0 | +200 | -100 | +100 | -150 |
| 250 | 315 | +350 | -250 | +200 | 0 | + 350 | -250 | +350 | -250 | +200 | -300 | +150 | -150 | +100 | 0 | +150 | -150 | +100 | -150 | +200 | -100 | +100 | 0 | +200 | -100 | +100 | -150 |
| 315 | 400 | +400 | -400 | +200 | 0 | + 400 | -400 | +400 | -400 1) | – | – | +200 | -200 | +100 | 0 | +200 | -200 1) | – | – | +200 | -200 | +100 | 0 | +200 | -200 1) | – | – |
| 400 | 500 | +450 | -450 | +200 | 0 | + 400 | -400 | +450 | -450 1) | – | – | + 225 | -225 | +100 | 0 | + 225 | -225 1) | – | – | + 225 | -225 | +100 | 0 | +225 | -225 1) | – | – |
| 500 | 630 | +500 | -500 | – | – | + 500 | -500 | +500 | -500 1) | – | – | – | – | – | – | – | – | – | – | – | – | – | – | – | – | – | – |
| 630 | 800 | +600 | -600 | – | – | + 600 | -600 | +600 | -600 1) | – | – | – | – | – | – | – | – | – | – | – | – | – | – | – | – | – | – |
| 800 | 1000 | +750 | -750 | – | – | + 750 | -750 | +750 | -750 1) | – | – | – | – | – | – | – | – | – | – | – | – | – | – | – | – | – | – |
[Примечание] 1) Они должны применяться к подшипникам класса точности 5.
[Примечание] Значения, выделенные курсивом, предписаны стандартами JTEKT.
PDF (Нажмите здесь)
(1) Внутреннее кольцо, ширина наружного кольца и общая ширина
| Nominal bore diameter d mm | Single plane mean bore diameter deviation Δ d mp | Single plane bore diameter variation V d sp | Mean bore diameter вариант V d mp | радиальное биение внутреннего кольца подшипника в сборе K ia | Отклонение ширины одинарного наружного или внутреннего кольца Δ B s , Δ C s | Actual overall inner rings/outer rings width deviation | ||||||
|---|---|---|---|---|---|---|---|---|---|---|---|---|
| Double-row T s | Four-row Δ T s , Δ W s | |||||||||||
| over | up to | upper | lower | max.![]() | макс. | макс. | верхний | нижний | верхний | нижний | верхний | нижний |
| 30 7 | 50056 500560 | -12 | 12 | 9 | 20 | 0 | -120 | + 240 | -240 | – | – | |
| 50 | 80 | 0 | -15 | 15 | 11 | 25 | 0 | -150 | +300 | -300 | – | – |
| 80 | 120 | 0 | -20 | 20 | 15 | 30 | 0 | -200 | +400 | -400 | +500 | -500 |
| 120 | 180 | 0 | -25 | 25 | 19 | 35 | 0 | -250 | +500 | -500 | +600 | -600 |
| 180 | 250 | 0 | -30 | 30 | 23 | 50 | 0 | -300 | +600 | -600 | +750 | -750 |
| 250 | 315 | 0 | -35 | 35 | 26 | 60 | 0 | -350 | +700 | -700 | +900 | -900 |
| 315 | 400 | 0 | -40 | 40 | 30 | 70 | 0 | -400 | +800 | -800 | +1000 | -1000 |
| 400 | 500 | 0 | -45 | 45 | 34 | 80 | 0 | -450 | +900 | -900 | +1200 | -1200 |
| 500 | 630 | 0 | -60 | 60 | 40 | 90 | 0 | -500 | +1000 | -1000 | +1200 | -1200 |
| 630 | 800 | 0 | -75 | 75 | 45 | 100 | 0 | -750 | +1500 | -1500 | – | – |
| 800 | 1000 | 0 | -100 | 100 | 55 | 115 | 0 | -1000 | +1500 | -1500 | – | – |
PDF (Нажмите здесь)
(2) Наружное кольцо
| Номинальный наружный диаметр D мм | Среднее отклонение наружного диаметра в одной плоскости Δ D mp | Single plane outside diameter variation V D sp | Mean outside diameter variation V D mp | Radial runout of assembled bearing наружное кольцо K шт. | ||
|---|---|---|---|---|---|---|
| свыше | до | верхнее | нижнее | макс. | макс. | макс. |
| 50 | 80 | 0 | -16 | 16 | 12 | 25 |
| 80 | 120 | 0 | -18 | 18 | 14 | 35 |
| 120 | 150 | 0 | -20 | 20 | 15 | 40 |
| 150 | 180 | 0 | -25 | 25 | 19 | 45 |
| 180 | 250 | 0 | -30 | 30 | 23 | 50 |
| 250 | 315 | 0 | -35 | 35 | 26 | 60 |
| 315 | 400 | 0 | -40 | 40 | 30 | 70 |
| 400 | 500 | 0 | -45 | 45 | 34 | 80 |
| 500 | 630 | 0 | -50 | 60 | 38 | 100 |
| 630 | 800 | 0 | -75 | 80 | 55 | 120 |
| 800 | 1000 | 0 | -100 | 100 | 75 | 140 |
| 1000 | 1250 | 0 | -125 | 130 | 90 | 160 |
| 1250 | 1600 | 0 | -160 | 170 | 100 | 180 |
PDF (Нажмите здесь)
(1) Внутреннее кольцо
| Применяемый тип подшипника | Номинальный диаметр отверстия d , мм (1/25,4) | Отклонение диаметра одного отверстия Δ D S | ||||||||||||||||
|---|---|---|---|---|---|---|---|---|---|---|---|---|---|---|---|---|---|---|
| Класс 4 | Класс 2 | Класс 3 | Класс 0 | Класс 3.![]() | lower | upper | lower | upper | lower | upper | lower | upper | lower | |||||
| All types | – | 76,2 (3,0) | +13 | 0 | +13 | 0 | +13 | 0 | +13 | 0 | +8 | 0 | ||||||
| 76,2 (3,0) | 266,7 (10,5) | +25 | 0 | +25 | 0 | +13 | 0 | +13 | 0 | +8 | 0 | |||||||
| 266,7 (10,5) | 304,8 (12,0) | +25 | 0 | +25 | 0 | +13 | 0 | +13 | 0 | +8 | 0 | |||||||
| 304,8 (12,0) | 609,6 (24,0) | +51 | 0 | +51 | 0 | +25 | 0 | – | – | – | – | |||||||
| 609,6 (24,0) | 914,4 (36,0) | +76 | 0 | – | – | +38 | 0 | – | – | – | – | |||||||
| 914,4 (36,0) | 1219,2 (48,0) | +102 | 0 | – | – | +51 | 0 | – | – | – | – | |||||||
| 1219,2 (48,0) | – | +127 | 0 | – | – | +76 | 0 | – | – | – | – | |||||||
PDF (Нажмите здесь)
(2) Наружное кольцо
| Applied bearing type | Nominal outside diameter D , mm(1/25. 4) | Deviation of a single outside diameter Δ D s | ||||||||||
|---|---|---|---|---|---|---|---|---|---|---|---|---|
| Class 4 | Class 2 | Класс 3 | Class 0 | Class 00 | ||||||||
| over | up to | upper | lower | upper | lower | upper | lower | upper | lower | upper | lower | |
| Все типы | – | 266,7 (10,5) | +25 | 0 | +25 | 0 | +13 | 0 | +13 | 0 | +8 | 0 |
| 266,7 (10,5) | 304,8 (12,0) | +25 | 0 | +25 | 0 | +13 | 0 | +13 | 0 | +8 | 0 | |
| 304,8 (12,0) | 609,6 (24,0) | +51 | 0 | +51 | 0 | +25 | 0 | – | – | – | – | |
| 609,6 (24,0) | 914,4 (36,0) | +76 | 0 | +76 | 0 | +38 | 0 | – | – | – | – | |
| 914,4 (36,0) | 1219,2 (48,0) | +102 | 0 | – | – | +51 | 0 | – | – | – | – | |
| 1219,2 (48,0) | – | +127 | 0 | – | – | +76 | 0 | – | – | – | – | |
PDF (Нажмите здесь)
(3) Радиальное биение внутреннего/наружного кольца подшипника в сборе
| Применяемый тип подшипника | Номинальный наружный диаметр D , мм(1/25,4) | Радиальное биение внутреннего/наружного кольца K ia , K ea | |||||
|---|---|---|---|---|---|---|---|
| Class 4 | Class 2 | Class 3 | Class 0 | Class 00 | |||
| over | up to | max.![]() | макс. | макс. | макс. | макс. | |
| Все типы | – | 266,7 (10,5) | 51 | 38 | 8 | 4 | 2 |
| 266,7 (10,5) | 304,8 (12,0) | 51 | 38 | 8 | 4 | 2 | |
| 304,8 (12,0) | 609,6 (24,0) | 51 | 38 | 18 | – | – | |
| 609,6 (24,0) | 914,4 (36,0) | 76 | 51 | 51 | – | – | |
| 914,4 (36,0) | 1219.2 (48,0) | 76 | – | 76 | – | – | |
| 1219,2 (48,0) | – | 76 | – | 76 | – | – | |
PDF (Нажмите здесь)
(4) Ширина подшипника и общая ширина в сборе
| Применяемый тип подшипника | Номинальный диаметр отверстия d , мм (1/25,4) | Nominal outside diameter D , mm(1/25. 4) | Deviation of the actual bearing width and overall width of inner rings/outer rings Δ T s , Δ W S | ||||||||||
|---|---|---|---|---|---|---|---|---|---|---|---|---|---|
| Класс 4 | Класс 2 | Класс 3 | Классы 0,00 | ||||||||||
| Сверх | до | СВЕДЕНИЯ | до | до | СВЕДЕНИЯ | до | до | .0057 | нижняя | верхняя | нижняя | верхняя | нижняя |
| Однорядная | – | 101,6 (4,0) | – | – | +203 | 0 | +203 | 0 | +203 | -203 | +203 | -203 | |
| 101,6 (4,0) | 266,7 (10,5) | +356 | -254 | +203 | 0 | +203 | -203 | +203 | -203 | ||||
| 266,7 (10,5) | 304,8 (12,0) | – | – | +356 | -254 | +203 | 0 | +203 | -203 | +203 | -203 1) | ||
| 304,8 (12,0) | 609,6 (24,0) | – | 508,0 (20,0) | – | – | +381 | -381 | +203 | -203 | – | – | ||
| 304,8 (12,0) | 609,6 (24,0) | 508,0 (20,0) | – | – | – | +381 | -381 | +381 | -381 | – | – | ||
| 609,6 (24,0) | – | – | +381 | -381 | – | – | +381 | -381 | – | – | |||
| Двухрядный | – | 101,6 (4,0) | – | – | +406 | 0 | +406 | 0 | +406 | -406 | +406 | -406 | |
| 101,6 (4,0) | 266,7 (10,5) | – | – | + 711 | -508 | +406 | -203 | +406 | -406 | +406 | -406 | ||
| 266,7 (10,5) | 304,8 (12,0) | – | – | + 711 | -508 | +406 | -203 | +406 | -406 | +406 | -406 1) | ||
| 304,8 (12,0) | 609,6 (24,0) | – | 508,0 (20,0) | – | – | + 762 | -762 | +406 | -406 | – | – | ||
| 304,8 (12,0) | 609,6 (24,0) | 508,0 (20,0) | – | – | – | + 762 | -762 | + 762 | -762 | – | – | ||
| 609,6 (24,0) | – | – | + 762 | -762 | – | – | +762 | -762 | – | – | |||
| Двухрядный (тип TNA) | – | 127,0 (5,0) | – | – | – | – | +254 | 0 | +254 | 0 | – | – | |
| 127,0 (5,0) | – | – | – | – | + 762 | 0 | + 762 | 0 | – | – | |||
| Четырехрядный | Общий диапазон размеров | – | – | +1524 | -1524 | +1524 | -1524 | +1524 | -1524 | +1524 | -1524 | ||
[Примечание] 1) Они должны применяться к подшипникам класса 0.
PDF (Нажмите здесь)
(1) Диаметр отверстия и ширина внутреннего кольца и ширина подшипника в сборе
| Nominal bore diameter d mm | Deviation of a single bore diameter Δ d s | Deviation of a single inner ring width Δ B s | Отклонение фактической ширины подшипника Δ T s | ||||||||||||||||||||||
|---|---|---|---|---|---|---|---|---|---|---|---|---|---|---|---|---|---|---|---|---|---|---|---|---|---|
| Класс ПК | Класс PN | Класс ПК | Class PB | Class PK | Class PN | Class PC | Class PB | Class PK | Class PN | Class PC | Class PB | ||||||||||||||
| over | up to | upper | Нижняя | Верхний | Нижний | Верхний | Нижний | Верхний | Нижний | Верхний | Нижний | Верхний | Нижний | Верхний | . 0056 lower | upper | lower | upper | lower | upper | lower | upper | lower | upper | lower |
| 10 | 18 | 0 | -12 | 0 | -12 | 0 | -7 | 0 | -5 | 0 | -100 | 0 | -50 | 0 | -200 | 0 | -200 | +200 | 0 | +100 | 0 | +200 | -200 | +200 | -200 |
| 18 | 30 | 0 | -12 | 0 | -12 | 0 | -8 | 0 | -6 | 0 | -100 | 0 | -50 | 0 | -200 | 0 | -200 | +200 | 0 | +100 | 0 | +200 | -200 | +200 | -200 |
| 30 | 50 | 0 | -12 | 0 | -12 | 0 | -10 | 0 | -8 | 0 | -100 | 0 | -50 | 0 | -200 | 0 | -200 | +200 | 0 | +100 | 0 | +200 | -200 | +200 | -200 |
| 50 | 80 | 0 | -15 | 0 | -15 | 0 | -12 | 0 | -9 | 0 | -150 | 0 | -50 | 0 | -300 | 0 | -300 | +200 | 0 | +100 | 0 | +200 | -200 | +200 | -200 |
| 80 | 120 | 0 | -20 | 0 | -20 | 0 | -15 | 0 | -10 | 0 | -150 | 0 | -50 | 0 | -300 | 0 | -300 | +200 | -200 | +100 | 0 | +200 | -200 | +200 | -200 |
| 120 | 180 | 0 | -25 | 0 | -25 | 0 | -18 | 0 | -13 | 0 | -200 | 0 | -50 | 0 | -300 | 0 | -300 | +350 | -250 | +150 | 0 | +350 | -250 | +200 | -250 |
| 180 | 250 | 0 | -30 | 0 | -30 | 0 | -22 | 0 | -15 | 0 | -200 | 0 | -50 | 0 | -350 | 0 | -350 | +350 | -250 | +150 | 0 | +350 | -250 | +200 | -300 |
| 250 | 315 | 0 | -35 | 0 | -35 | 0 | -22 | 0 | -15 | 0 | -200 | 0 | -50 | 0 | -350 | 0 | -350 | +350 | -250 | +200 | 0 | +350 | -300 | +200 | -300 |
PDF (Нажмите здесь)
(2) Наружный диаметр и ширина наружного кольца и радиальное биение внутреннего кольца/наружного кольца подшипника в сборе
| Nominal outside diameter D mm | Deviation of a single outside diameter Δ D s | Deviation of a single outer ring width Δ C s | Радиальное биение внутреннего/наружного кольца K ia , K ea | |||||||||||||||||||||||||||
|---|---|---|---|---|---|---|---|---|---|---|---|---|---|---|---|---|---|---|---|---|---|---|---|---|---|---|---|---|---|---|
| Class PK | Class PN | Class PC | Class PB | Class PK | Class PN | Class PC | Class PB | Класс PK | Class PN | Class PC | Class PB | |||||||||||||||||||
| Более | до | Верхний | Нижний | Верхний | Нижний | Нижний | Верхний | Нижний | 0056 Нижняя | Верхний | Нижний | Верхний | Нижний | Верхний | Нижний | Верхний | Нижний | Верхний | Нижний | 7.![]() | макс. | макс. | макс. | |||||||
| 18 | 30 | 0 | -12 | 0 | -12 | 0 | -8 | 0 | -6 | 0 | -150 | 0 | -100 | 0 | -150 | 0 | -150 | 18 | 18 | 5 | 3 | |||||||||
| 30 | 50 | 0 | -14 | 0 | -14 | 0 | -9 | 0 | -7 | 0 | -150 | 0 | -100 | 0 | -150 | 0 | -150 | 20 | 20 | 6 | 3 | |||||||||
| 50 | 80 | 0 | -16 | 0 | -16 | 0 | -11 | 0 | -9 | 0 | -150 | 0 | -100 | 0 | -150 | 0 | -150 | 25 | 25 | 6 | 4 | |||||||||
| 80 | 120 | 0 | -18 | 0 | -18 | 0 | -13 | 0 | -10 | 0 | -200 | 0 | -100 | 0 | -200 | 0 | -200 | 35 | 35 | 6 | 4 | |||||||||
| 120 | 150 | 0 | -20 | 0 | -20 | 0 | -15 | 0 | -11 | 0 | -200 | 0 | -100 | 0 | -200 | 0 | -200 | 40 | 40 | 7 | 4 | |||||||||
| 150 | 180 | 0 | -25 | 0 | -25 | 0 | -18 | 0 | -13 | 0 | -200 | 0 | -100 | 0 | -250 | 0 | -250 | 45 | 45 | 8 | 4 | |||||||||
| 180 | 250 | 0 | -30 | 0 | -30 | 0 | -20 | 0 | -15 | 0 | -250 | 0 | -100 | 0 | -250 | 0 | -250 | 50 | 50 | 10 | 5 | |||||||||
| 250 | 315 | 0 | -35 | 0 | -35 | 0 | -25 | 0 | -18 | 0 | -250 | 0 | -100 | 0 | -300 | 0 | -300 | 60 | 60 | 11 | 5 | |||||||||
| 315 | 400 | 0 | -40 | 0 | -40 | 0 | -28 | – | – | 0 | -250 | 0 | -100 | 0 | -300 | – | – | 70 | 70 | 13 | – | |||||||||
[Примечание] 1) Подшипники с дополнительным кодом “J” перед номером подшипника Ex.
JHM720249/JHM720210 и т.п.
PDF (Нажмите здесь)
(1) Обойма вала и центральная обойма
| Nominal bore diameter of shaft or central race d or d 2 ,mm | Single plane mean bore diameter deviation Δ d mp or Δ d 2MP | Изменение диаметра отверстия в одной плоскости V d sp или V d 2sp | 2sp | 0003 S I 1) 2) | |||||||||||
|---|---|---|---|---|---|---|---|---|---|---|---|---|---|---|---|
| Классы 0, 6, 5 | КЛАСС 4 | КЛАСС 0, 6, 5 | КЛАСС 4 | . 5 | класс 4 | ||||||||||
| свыше | до | верхний | нижний | верхний | нижний | макс.![]() | макс. | ||||||||
| – | 18 | 0 | -8 | 0 | -7 | 6 | 5 | 10 | 5 | 3 | 2 | ||||
| 18 | 30 | 0 | -10 | 0 | -8 | 8 | 6 | 10 | 5 | 3 | 2 | ||||
| 30 | 50 | 0 | -12 | 0 | -10 | 9 | 8 | 10 | 6 | 3 | 2 | ||||
| 50 | 80 | 0 | -15 | 0 | -12 | 11 | 9 | 10 | 7 | 4 | 3 | ||||
| 80 | 120 | 0 | -20 | 0 | -15 | 15 | 11 | 15 | 8 | 4 | 3 | ||||
| 120 | 180 | 0 | -25 | 0 | -18 | 19 | 14 | 15 | 9 | 5 | 4 | ||||
| 180 | 250 | 0 | -30 | 0 | -22 | 23 | 17 | 20 | 10 | 5 | 4 | ||||
| 250 | 315 | 0 | -35 | 0 | -25 | 26 | 19 | 25 | 13 | 7 | 5 | ||||
| 315 | 400 | 0 | -40 | 0 | -30 | 30 | 23 | 30 | 15 | 7 | 5 | ||||
| 400 | 500 | 0 | -45 | 0 | -35 | 34 | 26 | 30 | 18 | 9 | 6 | ||||
| 500 | 630 | 0 | -50 | 0 | -40 | 38 | 30 | 35 | 21 | 11 | 7 | ||||
| 630 | 800 | 0 | -75 | 0 | -50 | 55 | 40 | 40 | 25 | 13 | 8 | ||||
| 800 | 1000 | 0 | -100 | – | – | 75 | – | 45 | 30 | 15 | – | ||||
| 1000 | 1250 | 0 | -125 | – | – | 95 | – | 50 | 35 | 18 | – | ||||
[Примечания]
1) Двойные упорные шарикоподшипники должны быть включены в d одинарных упорных шарикоподшипников той же серии диаметров и с номинальным наружным диаметром.
2) Применяется только к упорным шарикоподшипникам и упорным цилиндрическим роликоподшипникам с углом контакта 90°.
PDF (Нажмите здесь)
(2) Втулка корпуса
| Номинальный наружный диаметр D мм | Среднее отклонение наружного диаметра в одной плоскости Δ D mp | Single plane outside diameter variation V D sp | Race raceway to back face thickness variation S e 1)2) | |||||
|---|---|---|---|---|---|---|---|---|
| classes 0, 6 , 5 | Класс 4 | Классы 0, 6, 5 | Класс 4 | Классы 0, 6, 5, 4 | ||||
| Сверх.0057 | макс. | макс. | ||||||
| 10 | 18 | 0 | -11 | 0 | -7 | 8 | 5 | Должен соответствовать допуску S i на d или d 2 того же подшипника |
| 18 | 30 | 0 | -13 | 0 | -8 | 10 | 6 | |
| 30 | 50 | 0 | -16 | 0 | -9 | 12 | 7 | |
| 50 | 80 | 0 | -19 | 0 | -11 | 14 | 8 | |
| 80 | 120 | 0 | -22 | 0 | -13 | 17 | 10 | |
| 120 | 180 | 0 | -25 | 0 | -15 | 19 | 11 | |
| 180 | 250 | 0 | -30 | 0 | -20 | 23 | 15 | |
| 250 | 315 | 0 | -35 | 0 | -25 | 26 | 19 | |
| 315 | 400 | 0 | -40 | 0 | -28 | 30 | 21 | |
| 400 | 500 | 0 | -45 | 0 | -33 | 34 | 25 | |
| 500 | 630 | 0 | -50 | 0 | -38 | 38 | 29 | |
| 630 | 800 | 0 | -75 | 0 | -45 | 55 | 34 | |
| 800 | 1000 | 0 | -100 | 0 | -60 | 75 | 45 | |
| 1000 | 1250 | 0 | -125 | – | – | 95 | – | |
| 1250 | 1600 | 0 | -160 | – | – | 120 | – | |
[Примечания]
1) Они должны применяться только к кольцу с плоской задней поверхностью.
2) Применяется только к упорным шарикоподшипникам и упорным цилиндрическим роликоподшипникам с углом контакта 90°.
PDF (Нажмите здесь)
(3) Высота подшипника и высота центрального кольца
| Nominal bore diameter d mm | Single direction | Double direction | |||||||
|---|---|---|---|---|---|---|---|---|---|
| Deviation of the actual bearing height Δ T s | Deviation of the actual bearing height Δ T 1s 1) | Deviation of the actual bearing height Δ T 2s 1) | Deviation of a single central race height B Δ B s 1) | ||||||
| class 0 | class 0 | class 0 | class 0 | ||||||
| over | up to | upper | lower | upper | lower | upper | lower | upper | lower |
| – | 30 | 0 | -75 | + 50 | -150 | 0 | -75 | 0 | -50 |
| 30 | 50 | 0 | -100 | + 75 | -200 | 0 | -100 | 0 | -75 |
| 50 | 80 | 0 | -125 | + 100 | -250 | 0 | -125 | 0 | -100 |
| 80 | 120 | 0 | -150 | + 125 | -300 | 0 | -150 | 0 | -125 |
| 120 | 180 | 0 | -175 | + 150 | -350 | 0 | -175 | 0 | -150 |
| 180 | 250 | 0 | -200 | + 175 | -400 | 0 | -200 | 0 | -175 |
| 250 | 315 | 0 | -225 | + 200 | -450 | 0 | -225 | 0 | -200 |
| 315 | 400 | 0 | -300 | + 250 | -600 | 0 | -300 | 0 | -250 |
[Примечание]
1) Двойные упорные шарикоподшипники должны быть включены в d однонаправленных упорных шарикоподшипников той же серии диаметров и номинального наружного диаметра.
[Примечание] Значения, выделенные курсивом, предписаны стандартами JTEKT.
PDF (Нажмите здесь)
(1) Обойма вала
| Nominal bore diameter d mm | Single plane mean bore diameter deviation Δ D mp | Single plane bore diameter variation V d sp | Refer . | ||||
|---|---|---|---|---|---|---|---|
| перпендикулярность торца внутреннего кольца относительно отверстия S d | Фактическое отклонение высоты подшипника Δ T s | ||||||
| свыше | до | верхний | нижний | макс. | макс. | верхний | нижний |
| 50 | 80 | 0 | -15 | 11 | 25 | + 150 | -150 |
| 80 | 120 | 0 | -20 | 15 | 25 | + 200 | -200 |
| 120 | 180 | 0 | -25 | 19 | 30 | + 250 | -250 |
| 180 | 250 | 0 | -30 | 23 | 30 | + 300 | -300 |
| 250 | 315 | 0 | -35 | 26 | 35 | + 350 | -350 |
| 315 | 400 | 0 | -40 | 30 | 40 | + 400 | -400 |
| 400 | 500 | 0 | -45 | 34 | 45 | + 450 | -450 |
[Примечание] Значения, выделенные курсивом, предписаны стандартами JTEKT.
PDF (Нажмите здесь)
(2) Втулка корпуса
| Номинальный наружный диаметр D ,мм | Среднее отклонение наружного диаметра в одной плоскости Δ D м.п.0057 до | верхний | нижний | | ||
|---|---|---|---|---|---|---|
| 120 | 180 | 0 | -25 | |||
| 180 | 250 | 0 | -30 | |||
| 250 | 315 | 0 | -35 | |||
| 315 | 400 | 0 | -40 | |||
| 400 | 500 | 0 | -45 | |||
| 500 | 630 | 0 | -50 | |||
| 630 | 800 | 0 | -75 | |||
| 800 | 1000 | 0 | -100 | |||
PDF (Нажмите здесь)
Теоретическое коническое отверстие
Коническое отверстие с отклонением среднего диаметра отверстия в одной плоскости
(1) Основное коническое отверстие (конусность 1:12)
| Nominal bore diameter d ,mm | Δ d mp | Δ d 1mp - Δ d mp | V d sp 1) | |||
|---|---|---|---|---|---|---|
| свыше | до | верхний | нижний | верхний | нижний | макс.![]() |
| – | 10 | +22 | 0 | +15 | 0 | 9 |
| 10 | 18 | +27 | 0 | +18 | 0 | 11 |
| 18 | 30 | +33 | 0 | +21 | 0 | 13 |
| 30 | 50 | +39 | 0 | +25 | 0 | 16 |
| 50 | 80 | +46 | 0 | +30 | 0 | 19 |
| 80 | 120 | +54 | 0 | +35 | 0 | 22 |
| 120 | 180 | +63 | 0 | +40 | 0 | 40 |
| 180 | 250 | +72 | 0 | +46 | 0 | 46 |
| 250 | 315 | +81 | 0 | +52 | 0 | 52 |
| 315 | 400 | +89 | 0 | +57 | 0 | 57 |
| 400 | 500 | +97 | 0 | +63 | 0 | 63 |
| 500 | 630 | +110 | 0 | +70 | 0 | 70 |
| 630 | 800 | +125 | 0 | +80 | 0 | – |
| 800 | 1000 | +140 | 0 | +90 | 0 | – |
| 1000 | 1250 | +165 | 0 | +105 | 0 | – |
| 1250 | 1600 | +195 | 0 | +125 | 0 | – |
PDF (Нажмите здесь)
(2) Основное коническое отверстие (конусность 1:30)
| Nominal bore diameter d ,mm | Δ d mp | Δ d 1mp - Δ d mp | V d sp 1) | |||
|---|---|---|---|---|---|---|
| свыше | до | верхний | нижний | |||
| – | 50 | +15 | 0 | +30 | 0 | 19 |
| 50 | 80 | +15 | 0 | +30 | 0 | 19 |
| 80 | 120 | +20 | 0 | +35 | 0 | 22 |
| 120 | 180 | +25 | 0 | +40 | 0 | 40 |
| 180 | 250 | +30 | 0 | +46 | 0 | 46 |
| 250 | 315 | +35 | 0 | +52 | 0 | 52 |
| 315 | 400 | +40 | 0 | +57 | 0 | 57 |
| 400 | 500 | +45 | 0 | +63 | 0 | 63 |
| 500 | 630 | +50 | 0 | +70 | 0 | 70 |
PDF (Нажмите здесь)
[Примечание] 1) Они должны применяться ко всем радиальным плоскостям с коническим отверстием, не применяются к подшипникам серии диаметров 7, 8.
[Примечание]
(1) Допуски на наружные диаметры фланцев
| Номинальное наружное кольцо Внешнее кольцевое кольцо. Внешний диаметр D 1 (MM) | Отклонение однородного кольца. фиксирующий фланец | ||||
|---|---|---|---|---|---|
| над | до | верхний | нижний | верхний | нижний |
| – | 6 | 0 | -36 | +220 | -36 |
| 6 | 10 | 0 | -36 | +220 | -36 |
| 10 | 18 | 0 | -43 | +270 | -43 |
| 18 | 30 | 0 | -52 | +330 | -52 |
| 30 | 50 | 0 | -62 | +390 | -62 |
| 50 | 80 | 0 | -74 | +460 | -74 |
[уведомление] Точность исключения может отличаться от указанной выше.
В этом случае свяжитесь с JTEKT.
PDF (Нажмите здесь)
(2) Допуски и допустимые значения ширины фланцев и допустимые значения точности вращения относительно фланцев
| Номинальный наружный диаметр D (мм) | Отклонение однородного кольца. C 1s 1) | Перпендикулярность внешней поверхности наружного кольца относительно задней поверхности фланца S D1 | Осевое биение заднего фланца наружного кольца подшипника в сборе S ea1 | |||||||||||||||
|---|---|---|---|---|---|---|---|---|---|---|---|---|---|---|---|---|---|---|
| Радиальные шарикоподшипники и радиально-упорные шарикоподшипники | Конические роликоподшипники | 5104Радиально-упорные шарикоподшипники Конические роликоподшипники | ||||||||||||||||
| классы 0, 6, 5, 4, 2 | классы 0, 6 | класс 5 | класс 4 | класс 2 | класс 5 | класс 4 | класс 2 | класс 5 | класс 4 | класс 2 | класс 5 | класс 4 | класс 2 | класс 4 | класс 2 | |||
| свыше | до | верхний | нижний | макс.![]() | макс. | макс. | макс. | макс. | ||||||||||
| – | 2,5 | Должен соответствовать допуску Δ B с по d того же класса и подшипник | Должен соответствовать допуску V B s по d того же класса и подшипник | 5 | 2,5 | 1,5 | 8 | 4 | 1,5 | 8 | 4 | 1,5 | 11 | 7 | 3 | 7 | 4 | |
| 2,5 | 6 | 5 | 2,5 | 1,5 | 8 | 4 | 1,5 | 8 | 4 | 1,5 | 11 | 7 | 3 | 7 | 4 | |||
| 6 | 18 | 5 | 2,5 | 1,5 | 8 | 4 | 1,5 | 8 | 4 | 1,5 | 11 | 7 | 3 | 7 | 4 | |||
| 18 | 30 | 5 | 2,5 | 1,5 | 8 | 4 | 1,5 | 8 | 4 | 1,5 | 11 | 7 | 4 | 7 | 4 | |||
| 30 | 50 | 5 | 2,5 | 1,5 | 8 | 4 | 1,5 | 8 | 4 | 2 | 11 | 7 | 4 | 7 | 4 | |||
| 50 | 80 | 6 | 3 | 1,5 | 8 | 4 | 1,5 | 8 | 4 | 2,5 | 14 | 7 | 6 | 7 | 6 | |||
[Примечание] 1) Они должны применяться к шарикоподшипникам с желобками, т.
е. радиальным шарикоподшипникам, радиально-упорным шарикоподшипникам и т. д.
PDF (Нажмите здесь)
(1) Радиальный подшипник (за исключением конических роликоподшипников)
| r min or r 1 min | Nominal bore diameter d mm | r max or r 1 max | ||
|---|---|---|---|---|
| over | до | Радиальное направление | Осевое направление | |
| 0,05 | – | – | 0,1 | 0,2 |
| 0,08 | – | – | 0,16 | 0,3 |
| 0,1 | – | – | 0,2 | 0,4 |
| 0,15 | – | – | 0,3 | 0,6 |
| 0,2 | – | – | 0,5 | 0,8 |
| 0,3 | – | 40 | 0,6 | 1 |
| 40 | – | 0,8 | 1 | |
| 0,6 | – | 40 | 1 | 2 |
| 40 | – | 1,3 | 2 | |
| 1 | – | 50 | 1,5 | 3 |
| 50 | – | 1,9 | 3 | |
1. 1 | – | 120 | 2 | 3,5 |
| 120 | – | 2,5 | 4 | |
| 1,5 | – | 120 | 2,3 | 4 |
| 120 | – | 3 | 5 | |
| 2 | – | 80 | 3 | 4,5 |
| 80 | 220 | 3,5 | 5 | |
| 220 | – | 3,8 | 6 | |
| 2.1 | – | 280 | 4 | 6,5 |
| 280 | – | 4,5 | 7 | |
| 2,5 | – | 100 | 3,8 | 6 |
| 100 | 280 | 4,5 | 6 | |
| 280 | – | 5 | 7 | |
| 3 | – | 280 | 5 | 8 |
| 280 | – | 5,5 | 8 | |
| 4 | – | – | 6,5 | 9 |
| 5 | – | – | 8 | 10 |
| 6 | – | – | 10 | 13 |
| 7,5 | – | – | 12,5 | 17 |
| 9,5 | – | – | 15 | 19 |
| 12 | – | – | 18 | 24 |
| 15 | – | – | 21 | 30 |
| 19 | – | – | 25 | 38 |
[Примечания]
1.
Значение r max или r 1 max в осевом направлении для подшипников с номинальной шириной меньше 2 мм направление.
2. Точность формы поверхности фаски не регламентируется, но ее контур в осевой плоскости не должен располагаться за пределами воображаемой дуги окружности радиусом r мин. или r 1 мин. , который контактирует с боковой поверхностью внутреннего кольца и отверстием или с боковой поверхностью наружного кольца и внешней поверхностью.
PDF (Нажмите здесь)
(2) Радиальные подшипники со стопорным стопорным кольцом (со стороны канавки под стопорное кольцо) и цилиндрическими роликоподшипниками (с отдельным упорным кольцом и со стороны свободного буртика)
| r 1 мин | Номинальный диаметр отверстия или номинальный наружный диам. D или D | R 1 MAX | ||||
|---|---|---|---|---|---|---|
| до | RADIAL DIRIENTIO | – | – | 0,5 | 0,5 | |
| 0,3 | – | 40 | 0,6 | 0,8 | ||
| 40 | – | 0,8 | 0,8 | |||
| 0,5 | – | 40 | 1 | 1,5 | ||
| 40 | – | 1,3 | 1,5 | |||
| 0,6 | – | 40 | 1 | 1,5 | ||
| 40 | – | 1,3 | 1,5 | |||
| 1 | – | 50 | 1,5 | 2,2 | ||
| 50 | – | 1,9 | 2,2 | |||
1. 1 | – | 120 | 2 | 2,7 | ||
| 120 | – | 2,5 | 2,7 | |||
| 1,5 | – | 120 | 2,3 | 3,5 | ||
| 120 | – | 3 | 3,5 | |||
| 2 | – | 80 | 3 | 4 | ||
| 80 | 220 | 3,5 | 4 | |||
| 220 | – | 3,8 | 4 | |||
| 2.1 | – | 280 | 4 | 4,5 | ||
| 280 | – | 4,5 | 4,5 | |||
| 2,5 | – | 100 | 3,8 | 5 | ||
| 100 | 280 | 4,5 | 5 | |||
| 280 | – | 5 | 5 | |||
| 3 | – | 280 | 5 | 5,5 | ||
| 280 | – | 5,5 | 5,5 | |||
| 4 | – | – | 6,5 | 6,5 | ||
| 5 | – | – | 8 | 8 | ||
| 6 | – | – | 10 | 10 | ||
[Примечание]
Точность формы поверхности фаски не указывается, но ее контур в осевой плоскости не должен располагаться вне воображаемой дуги окружности радиусом r 1 мин.
, который контактирует с боковой поверхностью внутреннего кольца и отверстием или с боковой поверхностью наружного кольца и внешней поверхностью.
PDF (Нажмите здесь)
(3) Цилиндрические роликоподшипники (сторона без ребер) и радиально-упорные шарикоподшипники (лицевая сторона)
| r 1 мин | Номинальный диаметр отверстия или номинальный наружный диам. D или D | R 1 MAX | ||||
|---|---|---|---|---|---|---|
| до | RADIAL DIRIENTIO | – | – | 0,2 | 0,4 | |
| 0,15 | – | – | 0,3 | 0,6 | ||
| 0,2 | – | – | 0,5 | 0,8 | ||
| 0,3 | – | 40 | 0,6 | 1 | ||
| 40 | – | 0,8 | 1 | |||
| 0,6 | – | 40 | 1 | 2 | ||
| 40 | – | 1,3 | 2 | |||
| 1 | – | 50 | 1,5 | 3 | ||
| 50 | – | 1,9 | 3 | |||
1. 1 | – | 120 | 2 | 3,5 | ||
| 120 | – | 2,5 | 4 | |||
| 1,5 | – | 120 | 2,3 | 4 | ||
| 120 | – | 3 | 5 | |||
| 2 | – | 80 | 3 | 4,5 | ||
| 80 | 220 | 3,5 | 5 | |||
| 220 | – | 3,8 | 6 | |||
[Примечание]
Точность формы поверхности фаски не указывается, но ее контур в осевой плоскости не должен располагаться вне воображаемой дуги окружности радиусом r 1 мин , который контактирует с боковой поверхностью внутреннего кольца и отверстием или с боковой поверхностью наружного кольца и внешней поверхностью.
PDF (Нажмите здесь)
(4) Конический роликоподшипник метрической серии
| r мин или r 1 мин | Номинальный диаметр отверстия или номинальный наружный диам. 1) d или D , мм | r max or r 1 max | ||
|---|---|---|---|---|
| over | up to | Radial direction | Axial direction | |
| 0.3 | – | 40 | 0,7 | 1,4 |
| 40 | – | 0,9 | 1,6 | |
| 0,6 | – | 40 | 1,1 | 1,7 |
| 40 | – | 1,3 | 2 | |
| 1 | – | 50 | 1,6 | 2,5 |
| 50 | – | 1,9 | 3 | |
| 1,5 | – | 120 | 2,3 | 3 |
| 120 | 250 | 2,8 | 3,5 | |
| 250 | – | 3,5 | 4 | |
| 2 | – | 120 | 2,8 | 4 |
| 120 | 250 | 3,5 | 4,5 | |
| 250 | – | 4 | 5 | |
| 2,5 | – | 120 | 3,5 | 5 |
| 120 | 250 | 4 | 5,5 | |
| 250 | – | 4,5 | 6 | |
| 3 | – | 120 | 4 | 5,5 |
| 120 | 250 | 4,5 | 6,5 | |
| 250 | 400 | 5 | 7 | |
| 400 | – | 5,5 | 7,5 | |
| 4 | – | 120 | 5 | 7 |
| 120 | 250 | 5,5 | 7,5 | |
| 250 | 400 | 6 | 8 | |
| 400 | – | 6,5 | 8,5 | |
| 5 | – | 180 | 6,5 | 8 |
| 180 | – | 7,5 | 9 | |
| 6 | – | 180 | 7,5 | 10 |
| 180 | – | 9 | 11 | |
| 7,5 | – | – | 12,5 | 17 |
| 9,5 | – | – | 15 | 19 |
[Примечание] 1) Внутреннее кольцо должно быть включено в раздел d , а наружное кольцо – в раздел D .
[Примечания]
1. Точность формы поверхности фаски не указывается, но ее контур в осевой плоскости не должен располагаться вне дуги воображаемой окружности радиусом r мин. или r 1 мин. , который контактирует с задней поверхностью и отверстием внутреннего кольца или с задней поверхностью и наружной поверхностью наружного кольца.
2. Значения, выделенные курсивом, приведены в стандартах JTEKT.
PDF (Нажмите здесь)
(5) Упорный подшипник
| r min or r 1 min | r max or r 1 max |
|---|---|
| Radial and axial direction | |
| 0.05 | 0,1 |
| 0,08 | 0,16 |
| 0,1 | 0,2 |
| 0,15 | 0,3 |
| 0,2 | 0,5 |
| 0,3 | 0,8 |
| 0,6 | 1,5 |
| 1 | 2,2 |
| 1,1 | 2,7 |
| 1,5 | 3,5 |
| 2 | 4 |
2. 1 | 4,5 |
| 3 | 5,5 |
| 4 | 6,5 |
| 5 | 8 |
| 6 | 10 |
| 7,5 | 12,5 |
| 9,5 | 15 |
| 12 | 18 |
| 15 | 21 |
| 19 | 25 |
[Примечание]
Точность формы поверхности фаски не указывается, но ее контур в осевой плоскости не должен располагаться вне воображаемой дуги окружности радиусом r мин. или r 1 мин. , который контактирует с задней поверхностью и отверстием вала или центрального кольца, или с задней поверхностью кольца корпуса и внешней поверхностью.
PDF (Нажмите здесь)
НАШ АССОРТИМЕНТ ДЛЯ ВАШЕЙ ПРОМЫШЛЕННОСТИ – NTN-SNR – Каталоги в формате PDF | Техническая документация
Добавить в избранное
{{requestButtons}}
Выдержки из каталога
НАШ АССОРТИМЕНТ NTN ДЛЯ ВАШЕЙ ПРОМЫШЛЕННОСТИ With You: подшипники, сопутствующие компоненты и аксессуары
bonne of the Manufacturer, Expertproportion OK масштаб лидера NTN-SNR ROULEMENTS, входящая в третью по величине группу по производству подшипников в мире, является главной силой Couleur SNR bleu Couleur NTN в качестве проектировщика, разработчика и производителя.
Благодаря своим сильным брендам NTN-SNR очень активна в соотношении C : 100 C : 100 в автомобильной, промышленной и авиационной отраслях. Каждое подразделение соответствует ожиданиям глобального рынка M : 60 M : 30 J :0 :0 и фокусируется на бизнес-сегментах своих клиентов. N :0 N :0 Couleur SNR Jaune C :0 M :0 J : 100 N :0 NTN-SNR предлагает технические…
Вместе мы можем создать мир будущего. Идентичность NTN-SNR основана на сильных, реальных и общих ценностях. Близость, профессиональный подход, качество и техническое мастерство: основные ценности группы на протяжении почти столетия. Как индивидуально, так и в группе, мы берем на себя серьезные обязательства: слушать и работать для тех, с кем мы работаем и живем, и кому мы служим. С вами В центре событий, в центре перемен Содержание Подшипники Шарикоподшипники__________________________ – Радиальный контакт – Радиальный контакт – 4-точечный радиально-упорный контакт – Двухрядный самоустанавливающийся…
ШАРИКОВЫЕ ПОДШИПНИКИ Основной подшипник передового опыта, шариковый подшипник предназначен для приема радиальных и/или осевых нагрузок в соответствии с внутренней конструкцией Возможные варианты сепаратора (суффиксы)
Серия EMTR: низкий уровень шума с оптимизированной конструкцией специально для электродвигателей MEGAOHM серия : подшипники с электрической изоляцией, в основном для применения с электродвигателями и генераторами Серия CLEAN: для сред с экстремальным вакуумом (полупроводники, аэронавтика и т.
д.) Подшипники со встроенными датчиками (стр. 16) Подшипники с твердой смазкой (стр. 15) ) РАДИАЛЬНО-УПОРНЫЕ ПОДШИПНИКИ Высокоточный диапазон (см. стр. 12) СТАНДАРТНЫЙ ряд в зависимости от серии и размеров, угол 30°: 1 ряд: 7800, 7900, 71900, 7000, 7200, 7300, 7400 Большие подшипники: внутренний диаметр < 1060 мм. 2 ряда: 5200,...
КОНИЧЕСКИЕ РОЛИКОВЫЕ ПОДШИПНИКИ Принимают высокие радиальные и осевые нагрузки в одном направлении. Как правило, они устанавливаются напротив подшипника того же типа. Грузоподъемность зависит от угла контакта. КОНИЧЕСКИЕ РОЛИКОВЫЕ ПОДШИПНИКИ 1 РЯД Метрические размеры: стандарты ISO 355 и JIS B 1512 Доступны с углами контакта, разброс от 10° до 31°, включая 2 серии с большим углом контакта (T7FC и 303xx D) Размеры в дюймах: стандарт ABMA (включая метрические серии J ) Могут быть оснащены фланцами КОНИЧЕСКИЕ РОЛИКОВЫЕ ПОДШИПНИКИ, ДВУХРЯДНЫЕ Изображается в той же форме, что и два однорядных подшипника.0005
Этот узел компенсирует изгиб вала и устраняет дефекты несоосности.
Они воспринимают высокие радиальные нагрузки и осевые нагрузки в обоих направлениях. Доступны с коническими или цилиндрическими отверстиями. Конические отверстия поставляются с закрепительными или стяжными втулками. ВЫСОКОПРОИЗВОДИТЕЛЬНЫЙ ДИАПАЗОН NTN-SNR: – Серия: 21300 / 22200 – 22300 / 23000 – 23100 – 23200 – 23800 – 23900 / 24000 – 24100 – 24800 – 24900 – Стандарт высокой производительности. Сталь оптимального качества, геометрия и оптимизированное состояние поверхности, максимальная динамическая грузоподъемность, срок службы подшипников (X2). – Увеличены ограничения скорости – Уменьшено потребление энергии…
ЦИЛИНДРИЧЕСКИЕ РОЛИКОВЫЕ ПОДШИПНИКИ Эти подшипники обладают высокой жесткостью и могут воспринимать высокие радиальные нагрузки. Версии Cage допускают более высокие скорости, чем полнокомплектные версии. Оснащенный съемными кольцами, демонтаж и извлечение просты, даже когда необходимы узкие зазоры. Стандартный ряд Стандарт ISO: NU, N, NJ, NF, NUP, NH, RNU, HJ Серии подшипников: 200, 300, 400, 1800, 1900, 1000, 2900, 2200, 2300, 3800, 3100, 3200, 3300 US типы (BOWER): M, W Возможные варианты • Коническое отверстие (K) • Канавки с (NR) или без стопорного кольца (N) на наружном диаметре для упрощения сборки • Полностью корпус.
..
2-РЯДНЫЕ ЦИЛИНДРИЧЕСКИЕ ПОДШИПНИКИ С СЕДАТРОМ Стандартный ряд: NN и NNU со сплошным сепаратором Серии: 3900, 3000, 3100, 4800, 4900, 4000 Подшипники типа NN и NNU: также доступны с коническим отверстием Типы применения: станки (см. § Высокая точность стр.12) или тяжелая промышленность 4-РЯДНЫЕ ЦИЛИНДРИЧЕСКИЕ ПОДШИПНИКИ С СЕДАТРОМ (ТИП 4R) Подшипники со сплошным сепаратором, также доступны в больших размерах (d. < 1200 мм) Возможные варианты • Цементируемая или азотированная сталь для повышения прочности • Смазочные отверстия 2-РЯДНЫЕ ЦИЛИНДРИЧЕСКИЕ ПОЛНЫЕ КОМПЛЕКТАЦИИ (ТИП SL) Серия подходит для высоких радиальных нагрузок и/или соответствует...
Эти подшипники в основном выбираются для конструкций, требующих уменьшенных радиальных размеров и максимальной жесткости и грузоподъемности. Они мало сопротивляются осевым нагрузкам (кроме упорных и комбинированных подшипников). ИГОЛЬЧАТЫЕ РОЛИКИ И КЛЕТКИ В СБОРЕ Игольчатая клетка состоит из неразъемной клетки и игл и может использоваться для создания очень компактных, легких конструкций с максимальной грузоподъемностью.
Вал и корпус действуют как дорожки качения и должны быть обработаны с соблюдением характеристик твердости, геометрии и шероховатости. Иглы направляются точно, поэтому иглодержатель может впитать много…
Эти сплошные кольца и игольчатые подшипники также доступны в дюймовых размерах. (MR,MI) УПОРНЫЕ ИГОЛЬЧАТЫЕ И РОЛИКОВЫЕ ПОДШИПНИКИ Игольчатые или упорные роликовые подшипники предназначены для поглощения осевых усилий только в одном направлении. Опорные поверхности, используемые в качестве дорожек качения, должны быть отшлифованы и закалены. • Игольчатые упорные подшипники: тип AXK11 • Роликовые упорные подшипники: серии 811, 812, 874 и 893 Доступны с сепаратором из полиамида (-T2), сепаратором из алюминиевого сплава (-: легкость и улучшенные характеристики при недостатке смазки) или штампованным стальным сепаратором. • Шайбы: – Шайбы типа AS11 тонкие (1 мм), поэтому их опорные поверхности должны…
ВЫСОКОТОЧНЫЕ ПОДШИПНИКИ Эти подшипники в основном выбираются для конструкций, требующих уменьшенных радиальных размеров и максимальной жесткости и грузоподъемности.
Они мало сопротивляются осевым нагрузкам (кроме упорных и комбинированных подшипников). MACHLINE BY SNR • Высокая точность MACHLINE: стандартные серии 71900V и 7000V: идеальное сочетание производительности с точки зрения скорости, жесткости, производительности и точности Серия 7200G1: – Специально разработана для приложений с преимущественно высокими осевыми нагрузками. – Варианты в зависимости от угла контакта: C для 15°, H для 25° – Варианты в зависимости от предварительного натяга: легкие,…
Все каталоги и технические брошюры NTN-SNR
Большие подшипники NTN
337 страниц
КОНИЧЕСКИЕ РОЛИКОВЫЕ ПОДШИПНИКИ
32 страницы
Topline
16 страниц
Мегаом
7 страниц
НАБОР ВСЕ В ОДНОМ
14 страниц
- сферический роликоподшипник
Исо с экранами
8 страниц
Сферические роликоподшипники
80 страниц
POLIPUMP
6 страниц
Гидравлические гайки
2 страницы
SmartTEMP
4 страницы
Радиальные шарикоподшипники
4 страницы
Смазка
44 страницы
Инструменты для обслуживания
56 страниц
Линейное перемещение: шарико-винтовые пары
116 страниц
Линейное перемещение: Шариковые втулки
84 страницы
Мы получаем, вы двигаетесь!
124 страницы
Диапазон линейных осей
2 страницы
Линейная ось
260 страниц
Линейная ось AX
4 страницы
Линейная ось AX
100 страниц
Линейное перемещение: диапазон
4 страницы
Большие стационарные корпуса SNCD
65 страниц
Самоустанавливающиеся подшипниковые узлы
125 страниц
Прецизионные подшипники качения
327 страниц
Шариковые и роликовые подшипники
407 страниц
РЕШЕНИЯ ДЛЯ СТАНКОВ
6 страниц
SUPER PRECISION ПОДШИПНИКИ
8 страниц
ЦИЛИНДРИЧЕСКИЕ РОЛИКОВЫЕ ПОДШИПНИКИ NTN-SNR
4 страницы
УПЛОТНЕННЫЕ СФЕРИЧЕСКИЕ РОЛИКОВЫЕ ПОДШИПНИКИ
6 страниц
ПРИМЕНЕНИЕ ВИБРОГРИТА EF800 ULTAGE
5 страниц
ЦИЛИНДРИЧЕСКИЕ РОЛИКОВЫЕ ПОДШИПНИКИ
5 страниц
SNC Ассортимент подушек
88 страниц
Игольчатые роликоподшипники
84 страницы
Сравнить
Удалить все
Сравнить до 10 продуктов
Внутренний зазор подшипника | Конструкция машины
Первое, что вы должны знать, это то, что такое внутренний зазор подшипника, а что нет.
Внутренний зазор — это общее расстояние, на которое одно кольцо подшипника перемещается относительно другого в радиальном (радиальный внутренний зазор) или в осевом направлении (осевой внутренний зазор). Зазор подшипника подразделяется на неустановленный и установленный зазор. Изготовитель подшипника устанавливает первоначальный внутренний зазор в несмонтированном подшипнике. Это зазор в подшипнике прямо из коробки. Установленный зазор в подшипнике устанавливается после установки подшипника на вал и в корпус и при достижении подшипником установившейся рабочей температуры. Вы также можете думать о монтажном зазоре как о рабочем зазоре.
| Скачать эту статью в формате .PDF Этот тип файла включает в себя графику и схемы высокого разрешения, если это применимо. |
В идеале, для обеспечения оптимального срока службы подшипника и надежности машины, внутренний зазор подшипника в рабочих условиях равен нулю или имеет небольшое отрицательное значение.
Начальный зазор в подшипнике выбирается при проектировании оборудования и выборе подшипника для достижения этой цели.
Подшипники качения представляют собой прецизионные элементы машин, которые поддерживают и позиционируют вращающееся оборудование с минимальным трением, шумом и обслуживанием. Подшипник качения состоит из шариков или роликов, установленных точно между внутренним и наружным кольцом. Эти детали изготавливаются из специальных термообрабатываемых сталей, обладающих высокой усталостной прочностью. Тела качения разделены внутри колец сепаратором подшипника (несъемным), изготовленным из стали, латуни или полиамида, наполненного армированным стекловолокном.
В большинстве случаев два подшипника поддерживают вращающийся компонент оборудования: один является неподвижным или фиксирующим подшипником; другой – плавающий или плавающий подшипник. Размер и тип подшипника выбираются на основе таких параметров, как номинальная грузоподъемность подшипника, величина и направление приложенной нагрузки или нагрузок, скорость вращения, жесткость и точность.
В некоторых случаях фиксирующий подшипник, который воспринимает приложенные осевые нагрузки, также выбирается по его способности поддерживать осевое перемещение или осевой люфт вращающегося оборудования в заданных пределах.
На рис. 1 показана концепция внутреннего зазора подшипника, как радиального, так и осевого.
Стандарт ISO 5753-1981 (стандарт ANSI/AFBMA 20) определяет пределы для несмонтированных радиальных шариковых и роликовых подшипников. Стандарт определяет пять диапазонов «классов» зазоров (называемых ANSI/AFBMA «группами») для радиальных подшипников. Производители подшипников обозначают группы радиальных внутренних зазоров как «нормальный», «больше нормального» (суффикс C3), «меньше нормального» (суффикс C2) и т. д. Таблица 1 дает диапазоны радиальных внутренних зазоров для шарикоподшипников. Существуют аналогичные таблицы для цилиндрических роликоподшипников и сферических роликоподшипников.
Не путайте внутренний зазор подшипника с прецизионным подшипником .
Точность – это точность размеров и точности изготовления подшипника. Это не влияет на исходный внутренний зазор или внутренний зазор в несмонтированном подшипнике. Допуск ISO (ANSI/AFBMA) стандартизирует точность подшипников. Помимо «нормального» класса допуска, некоторые подшипники производятся с высокой точностью, например, с допуском ISO P5 (ANSI/AFBMA ABEC 5 или RBEC 5).
Зазор в установленном подшипнике обычно меньше, чем в неустановленном, из-за уменьшения внутреннего зазора из-за подгонки вала и корпуса, зажима подшипника и дифференциального теплового расширения колец подшипника. Например, внутренний радиальный зазор радиального шарикоподшипника, установленного на цельном стальном валу с натягом 0,013 мм (0,0005 дюйма), может быть уменьшен на 0,010 мм (0,0004 дюйма) за счет монтажа.
Неустановленные внутренние радиальные зазоры в радиальных шарикоподшипниках меньше, чем в роликоподшипниках. Например, для подшипников с диаметром отверстия 50 мм внутренний зазор в неустановленном состоянии в микронах составляет:
• Шарик с глубокими канавками, от 6 до 23.
• Цилиндрический ролик, от 30 до 60.
• Сферические ролики, цилиндрическое отверстие, от 35 до 55.
Роликовые подшипники производятся с увеличенным неустановленным зазором, чтобы учесть большие посадки с натягом, используемые при установке этих подшипников на вал.
«Нормальные» радиальные внутренние зазоры ISO (ANSI/AFBMA) в несмонтированных подшипниках были установлены для обеспечения подходящего рабочего зазора при установке с обычно рекомендуемыми посадками и эксплуатации в обычном диапазоне температур.
Рабочий зазор влияет на срок службы подшипника. Нагрузка, которую поддерживает подшипник, передается от одного кольца подшипника через тела качения к другому кольцу. Количество тел качения, воспринимающих нагрузку, влияет на срок службы подшипника. Если зазор слишком велик, слишком мало тел качения воспринимают нагрузку, вызывая высокие напряжения в местах их контакта с кольцами. Это приводит к преждевременной усталости дорожек качения и сокращению срока службы подшипников.
Слишком большой зазор в слегка нагруженных подшипниках может привести к проскальзыванию или проскальзыванию элементов на кольцах, что приведет к повреждению колец и сепараторов и повышению температуры подшипников.
Продолжить на стр. 2
В идеале для оптимального срока службы подшипника подшипник в рабочих условиях должен иметь небольшой отрицательный зазор; то есть небольшая предварительная нагрузка. На рис. 2 показан максимальный срок службы подшипника при небольшом отрицательном зазоре.
Если зазор слишком отрицательный, контактные напряжения подшипника между шариками и кольцами также будут слишком большими, и подшипник будет перегружен. Трение в подшипнике также, вероятно, будет большим, если зазор слишком отрицательный, и, таким образом, подшипник может выйти из строя из-за чрезмерной рабочей температуры. Избегайте чрезмерно отрицательного зазора (предварительного натяга) в подшипниках.
Подшипники с нормальным или большим зазором (C3) обычно используются, чтобы избежать слишком малого внутреннего зазора подшипника в процессе эксплуатации.
Подшипники с большим, чем обычно, неустановленным зазором используются, если подшипники установлены на вал или в корпус с более плотной, чем обычно, посадкой с натягом, если внутреннее и наружное кольца установлены с натягом, или если нагрев может к подшипникам от внешнего источника, такого как высокотемпературный вентиляторный газ или перекачиваемая жидкость. Внутренний радиальный зазор больше нормального может потребоваться, когда скорость подшипника высока и ожидается высокая температура подшипника.
Двухрядные радиально-упорные шарикоподшипники и универсальные однорядные радиально-упорные шарикоподшипники имеют осевой или радиальный зазор в зависимости от производителя подшипника. Для этих подшипников не существует промышленного стандарта зазоров. Они имеют большие углы контакта (от 25 до 40 градусов), чтобы выдерживать высокие осевые нагрузки. Это означает, что осевой зазор в этих подшипниках должен быть небольшим или подшипники должны иметь предварительный натяг во избежание проскальзывания шариков.
Взаимное расположение поверхностей внутреннего и наружного колец универсальных однорядных радиально-упорных шарикоподшипников тщательно контролируется при производстве. Таким образом, имеется установленный осевой зазор или предварительный натяг, когда два таких подшипника установлены вместе, либо спиной к спине, либо лицом к лицу, Рисунок 3 . При использовании радиально-упорных шарикоподшипников в этих узлах убедитесь, что они являются универсальными подшипниками.
Однорядные радиально-упорные шарикоподшипники и конические роликоподшипники являются «разборными» подшипниками — их внутреннее и наружное кольца могут отделяться друг от друга при обращении. Наружные кольца (чашки) конических роликоподшипников обычно упаковываются отдельно от внутреннего кольца и роликов в сборе. Зазор в этих подшипниках не устанавливается до тех пор, пока внутренние или наружные кольца двух соседних установленных подшипников не будут зажаты вместе, как в 9.0657 Рисунок 4 . Внутренние кольца этих подшипников, расположенные спиной к спине, должны быть сжаты вместе, например, с помощью контргайки, чтобы установить зазор или предварительный натяг.
Наружные кольца, расположенные лицом к лицу, должны быть зажаты для установки зазора или предварительного натяга.
Осевое усилие при зажатии подшипников на валу или в корпусе не должно быть чрезмерным — внутренний зазор может уменьшиться за счет упругого прогиба колец. Осевое усилие зажима на кольцах подшипника не должно превышать одной четверти номинальной статической нагрузки подшипника.
Подшипники могут ограничивать осевое перемещение или осевой люфт вращающегося оборудования. Для таких подшипников, как однорядные радиальные шарикоподшипники и сферические роликоподшипники, установленный осевой зазор или осевой люфт примерно в 5-10 раз больше установленного радиального внутреннего зазора. В некоторых случаях этот люфт может быть большим. Обычно это не имеет значения для такого оборудования, как вентиляторы, конвейеры, электродвигатели и некоторые редукторы. Неподвижный или фиксирующий подшипник контролирует осевой люфт оборудования и обычно находится ближе всего к приводной муфте.
Такие машины, как насосы, воздуходувки и компрессоры, имеют более жесткие пределы осевого люфта. В центробежных насосах его обычно ограничивают во избежание повреждения механического уплотнения насоса. Осевой люфт в воздуходувках, а также в некоторых поршневых компрессорах поддерживается очень небольшим за счет использования подшипников с зазором меньше нормального. Подпружиненные или предварительно нагруженные радиально-упорные шарикоподшипники с нулевым осевым люфтом обычно используются в винтовых компрессорах для поддержания близких зазоров, необходимых между двумя вращающимися винтами для высокой эффективности компрессора. В шпинделях станков используются предварительно нагруженные радиально-упорные шарикоподшипники для достижения нулевого осевого смещения шпинделя и высокой жесткости.
В некоторых случаях при компьютерном анализе можно выбрать неустановленный внутренний радиальный или осевой зазор.
Вы должны быть уверены, что компоненты вала и корпуса изготовлены с допусками для выбранного внутреннего зазора подшипника и что для сборки подшипников в оборудование установлены методы монтажа.
Аккуратно производите замену. Подшипник следует тщательно идентифицировать и заменять только подшипником с таким же внутренним зазором. Производитель и дистрибьютор подшипников, а также производитель оригинального оборудования могут помочь с идентификацией и заменой.
Кит Э. Мейерс — менеджер по разработке приложений, сегмент общего машиностроения, SKF USA Inc., Король Пруссии, Пенсильвания. Он является зарегистрированным профессиональным инженером.
Связанные статьи
Ограничения по грузоподъемности с воздушными подшипниками
ISO запускает базу данных концепций
Шариковые подшипники популярных метрических размеров | подшипники emq
Шариковые подшипники популярных метрических размеров для размеров валов от 10 мм до 30 мм
Размеры и технические чертежи см. в таблице ниже.
Варианты продукции с низким уровнем шума см. ниже. Они предназначены в первую очередь для радиальных нагрузок, но также могут выдерживать осевые или осевые нагрузки в обоих направлениях.
Их допустимая осевая нагрузка составляет до 50 % от номинальной статической радиальной нагрузки подшипника для тяжелых типоразмеров, таких как серия 6300. Эти популярные метрические шарикоподшипники изготовлены из хромистой стали SAE52100 (100Cr6). Для приложений, чувствительных к шуму, мы рекомендуем использовать бренд EZO или наш P6 с низким уровнем шума, качество электродвигателя (EMQ) подшипники (см. варианты продукции ниже). Размер подшипника 6202 является популярным вариантом, включенным в приведенные ниже варианты размеров.
Хромистая сталь является наиболее распространенным материалом для шарикоподшипников из-за ее высокой грузоподъемности и хороших характеристик низкого уровня шума. Подшипники из хромированной стали также более экономичны. Эти популярные метрические подшипники , со стальным фиксатором и подходящей смазкой могут использоваться при постоянной температуре 120°C или кратковременной температуре до 150°C. Выше этих температур нагрузочная способность хромистой стали снижается.
Эти подшипники не подходят для использования в агрессивных средах, так как сталь не устойчива к коррозии. Стандартная клетка или фиксатор представляет собой ленту из двух частей, изготовленную из стальной полосы SPCC.
Из-за отсутствия коррозионной стойкости и температурных пределов для этого диапазона следует выбирать другие материалы для очень высоких температур или агрессивных сред. К счастью, SMB Bearings предлагает коррозионностойкие подшипники и подшипники для экстремальных температур из альтернативных материалов для большинства размеров, перечисленных ниже, таких как нержавеющая сталь марки 440, морская нержавеющая сталь марки 316 и керамика.
Открытые популярные метрические подшипники поставляются с масляной смазкой. Экранированные или герметичные подшипники обычно поставляются с консистентной смазкой, но экранированные подшипники могут смазываться маслом для применения на низких скоростях и с низким коэффициентом трения. Благодаря собственному оборудованию для повторного смазывания открытые, экранированные или герметичные подшипники могут поставляться с указанными заказчиком маслами, консистентными смазками или сухими смазочными материалами.
Щелкните INFO в строках ниже, чтобы отобразить технические чертежи подшипников с данными о нагрузке и скорости. Обратите внимание, что в теоретических расчетах срока службы используются максимальные нагрузки и скорости. Рекомендуется использовать подшипники при значительно меньших номинальных нагрузках и скоростях, чтобы обеспечить достаточный срок службы подшипников.
малошумных подшипников
электродвигателя Электродвигатель
Дополнительная информация
Информация о продукте Стандартный класс
ОТВЕРСТИЕ (мм) | Н.Д. (мм) | ШИРИНА (мм) | ОТКРЫТЫЙ ПОДШИПНИК | ЭКРАНИРОВАННЫЙ ПОДШИПНИК | ГЕРМЕТИЧНЫЙ ПОДШИПНИК | |||
|---|---|---|---|---|---|---|---|---|
СМБ ССЫЛКА | ПОДРОБНЕЕ | СМБ ССЫЛКА | ПОДРОБНЕЕ | СМБ ССЫЛКА | ПОДРОБНЕЕ | |||
10 | 26 | 8 | 6000 | информация | 6000ZZ | информация | 6000- | информация |
28 | 8 | 16100 | информация | 16100ZZ | информация | 16100- | информация | |
30 | 9 | 6200 | информация | 6200ZZ | информация | 6200- | информация | |
35 | 11 | 6300 | информация | 6300ZZ | информация | 6300- | информация | |
12 | 28 | 7 | 16001 | информация | 16001ZZ | информация | 16001- | информация |
28 | 8 | 6001 | информация | 6001ZZ | информация | 6001- | информация | |
30 | 8 | 16101 | информация | 16101ZZ | информация | 16101- | информация | |
32 | 10 | 6201 | информация | 6201ZZ | информация | 6201- | информация | |
37 | 12 | 6301 | информация | 6301ZZ | информация | 6301- | информация | |
12,7 | 28 | 8 | 6001- | информация | 6001ZZ- | информация | 6001- | информация |
32 | 10 | 6201- | информация | 6201ZZ- | информация | 6201- | информация | |
35 | 11 | 6202- | информация | 6202ZZ- | информация | 6202- | информация | |
40 | 12 | 6203- | информация | 6203ZZ- | информация | 6203- | информация | |
13 | 32 | 10 | 6201- | информация | 6201ZZ- | информация | 6201- | информация |
15 | 32 | 8 | 16002 | информация | 16002ZZ | информация | 16002- | информация |
32 | 9 | 6002 | информация | 6002ZZ | информация | 6002- | информация | |
35 | 11 | 6202 | информация | 6202ZZ | информация | 6202- | информация | |
42 | 13 | 6302 | информация | 6302ZZ | информация | 6302- | информация | |
15. | 35 | 11 | 6202- | информация | 6202ZZ- | информация | 6202- | информация |
40 | 12 | 6203- | информация | 6203ZZ- | информация | 6203- | информация | |
16 | 35 | 11 | 6202- | информация | 6202ZZ- | информация | 6202- | информация |
40 | 12 | 6203- | информация | 6203ZZ- | информация | 6203- | информация | |
17 | 35 | 8 | 16003 | информация | 16003ZZ | информация | 16003- | информация |
35 | 10 | 6003 | информация | 6003ZZ | информация | 6003- | информация | |
40 | 12 | 6203 | информация | 6203ZZ | информация | 6203- | информация | |
47 | 14 | 6303 | информация | 6303ZZ | информация | 6303- | информация | |
19. | 40 | 12 | 6203- | информация | 6203ZZ- | информация | 6203- | информация |
47 | 14 | 6204- | информация | 6204ZZ- | информация | 6204- | информация | |
20 | 42 | 8 | 16004 | информация | 16004ZZ | информация | 16004- | информация |
42 | 12 | 6004 | информация | 6004ZZ | информация | 6004- | информация | |
47 | 14 | 6204 | информация | 6204ZZ | информация | 6204- | информация | |
52 | 15 | 6304 | информация | 6304ZZ | информация | 6304- | информация | |
22. | 47 | 14 | 6204- | информация | 6204ZZ- | информация | 6204- | информация |
25 | 47 | 8 | 16005 | информация | 16005ZZ | информация | 16005- | информация |
47 | 12 | 6005 | информация | 6005ZZ | информация | 6005- | информация | |
52 | 15 | 6205 | информация | 6205ZZ | информация | 6205- | информация | |
62 | 17 | 6305 | информация | 6305ZZ | информация | 6305- | информация | |
25,4 | 52 | 15 | 6205- | информация | 6205ZZ- | информация | 6205- | информация |
30 | 55 | 9 | 16006 | информация | 16006ZZ | информация | 16006- | информация |
55 | 13 | 6006 | информация | 6006ZZ | информация | 6006- | информация | |
62 | 16 | 6206 | информация | 6206ZZ | информация | 6206- | информация | |
72 | 19 | 6306 | информация | 6306ZZ | информация | 6306- | информация | |
курсов PDH онлайн.
PDH для профессиональных инженеров. ПДХ Инжиниринг.“Мне нравится широта ваших курсов HVAC; не только экологические курсы или курсы по энергосбережению
.”
Рассел Бейли, ЧП
Нью-Йорк
“Это укрепило мои текущие знания и научило меня нескольким новым вещам, кроме того
познакомив меня с новыми источниками
информации.”
Stephen Deduck, P.E.
Нью-Джерси
“Материал был очень информативным и организованным. Я многому научился, и они
очень быстро отвечали на вопросы.
Это было на высшем уровне. Буду использовать
снова. Спасибо».0658
“Веб-сайт прост в использовании. Хорошо организован. Я действительно буду пользоваться вашими услугами снова.
Я передам название вашей компании
другим сотрудникам.
”
Рой Пфлейдерер, ЧП
Нью-Йорк
«Справочный материал был превосходным, и курс был очень информативным, особенно потому, что я думал, что уже знаком
с деталями Канзас
Авария в City Hyatt.”
Майкл Морган, ЧП
Техас
“Мне очень нравится ваша бизнес-модель. Мне нравится, что я могу просмотреть текст перед покупкой. Я обнаружил, что класс
Информативный и полезный
В моей работе. »
Уильям Сенкевич, P.E.
Florida
” Florida . познавательный. Вы– лучший я обнаружил ».
Рассел Смит, P.E.
Pennsylvania
” Я считаю, что подходы.
материала.”
Хесус Сьерра, П.Е. На самом деле
человек изучает больше
от неудач ».
Джон Скондры, P.E.
Pennsylvania
.Way of Teaching. “
Jack Lundberg, P.E.
Висконсин
” I Am Am Am Am Am Im Am Am Am Am Am Am Am Am Am Am Am Am Aripped Why Whats
“I Am Am Am Am Am Am Am Im Im Im Im Im Im Im Impled Arped Wather Why Prese This The Cours; т. е. позволяя
Студент для рассмотрения курса
Материал перед оплатой и
Получение викторины. » курсы. Я, конечно, многому научился и
получил огромное удовольствие».0002 “Я очень доволен предлагаемыми курсами, качеством содержания материалов и простотой поиска
онлайн-курсов
.”
Уильям Валериоти, ЧП
Техас
“Этот материал в значительной степени оправдал мои ожидания.
Курс был прост для понимания. Фотографии в основном давали хорошее представление о
обсуждаемых темах.”
Майкл Райан, ЧП
Пенсильвания
“Именно то, что я искал. Нужен 1 балл по этике, и я нашел его здесь.”
Джеральд Нотт, ЧП
Нью-Джерси
“Это был мой первый онлайн-опыт получения необходимых кредитов PDH. Это было
информативно, выгодно и экономично.
Я очень рекомендую его
для всех инженеров. “
Джеймс Шурелл, P.E.
Ohio
” I , и являются
не основанными на какой-то неясной секции
законов, которые не применяются
к “5”7″
“нормальной практике”.0005
Марк Каноник, ЧП
Нью-Йорк
“Большой опыт! Я многому научился, чтобы взять его с собой в свою организацию медицинского оборудования
.
”
Иван Харлан, ЧП
Теннесси
«Материал курса имеет хорошее содержание, не слишком математический, с хорошим акцентом на практическое применение технологий».
Юджин Бойл, ЧП
Калифорния
»Это был очень приятный опыт. Тема была интересной и хорошо представленной,
, а онлайн -формат был очень
, и легкий до
. Благодарность.”
Патрисия Адамс, ЧП
Канзас
«Отличный способ добиться соответствия непрерывному обучению физкультуры в условиях временных ограничений лицензиата».
Джозеф Фриссора, ЧП
Нью-Джерси
«Должен признаться, я действительно многому научился. Это помогает иметь
печатный тест во время просмотра текстового материала.
предоставлены
фактические случаи.”
Жаклин Брукс, ЧП
Флорида
“Общие ошибки ADA в дизайне объектов очень полезно. Исследование
требовало исследования в
Документ Но .
Гарольд Катлер, ЧП
Массачусетс
“Это было эффективное использование моего времени. Спасибо за разнообразие выбора
в инженерии дорожного движения, который мне нужен
для выполнения требований
Сертификация PTOE.
Joseph Gilroy, P.E.E. 7777777777777777777777777777777777777777777777777777777777777777777777777777777777777777777777777777777777777777777777. способ заработать CEU для моих требований PG в штате Делавэр. До сих пор все курсы, которые я посещал, были отличными.Надежда увидеть больше 40%
Курсы дисконтирования.
“
Кристина Николас, P.E.
New York
9065
New York
9065
New York
9065
New York
. дополнительные
курсы. Процесс прост, и
намного эффективнее, чем
необходимость путешествовать.0658
Айдахо
«Услуги, предоставляемые CEDengineering, очень полезны для инженеров-профессионалов
в получении единиц PDH
в любое время. Очень удобно».
Пол Абелла, ЧП
Аризона
“Пока все было отлично! Будучи матерью двоих детей, я не так много
времени, чтобы исследовать, где
получить мои кредиты. Легко понять с иллюстрациями
и графиками; определенно облегчает
усвоение всех
теорий.
”
Виктор Окампо, P.Eng.
Alberta, Canada
“Хороший обзор принципов полупроводника. Мне понравилось пройти курс по телефону
на свой собственный темп во время моего Morn .”
Клиффорд Гринблатт, ЧП
Мэриленд
“Просто найти интересные курсы, скачать документы и получить
викторина. I would highly recommend
you to any PE needing
CE units.”
Mark Hardcastle, P.E.
Missouri
“Very good selection тем в различных областях техники».0658
“У меня есть переживание вещей, которые я забыл. Я также рад получить . на 40%.” Conrado Casem, P.E. Теннесси “Отличный курс по разумной цене. Буду пользоваться вашими услугами в будущем. Чарльз Флейшер, ЧП Нью-Йорк «Это был хороший тест, и я фактически проверил, что я прочитал кодексы профессиональной этики и правила Нью-Мексико ». Брун Гильберт, ЧП Калифорния “Мне очень понравились занятия. Они стоили времени и усилий.” Дэвид Рейнольдс, ЧП Канзас «Очень доволен качеством тестовых документов. Воспользуюсь сертификатом CEDengineerng , если потребуется дополнительная сертификация ». Томас Каппеллин, ЧП Иллинойс “У меня истек срок действия курса, но вы все равно выполнили обязательство и поставили ME, за что я заплатил – много Оцените! для инженера”. well arranged.” Glen Schwartz, P.E. New Jersey “Questions were appropriate for the lessons, and lesson material is good reference material для дизайна дерева”.0658 Роберт Велнер, ЧП New York “У меня был большой опыт работы с прибрежным строительством – проектирование . Денис Солано, ЧП Флорида «Очень понятный, хорошо организованный веб-сайт.0658 хорошо подготовлено. Мне нравится возможность загрузить учебный материал на Обзор, где бы ни был и ВСЕГДА ». Сохраняйте широкий выбор тем на выбор». Уильям Бараттино, ЧП Вирджиния “Процесс прямой, никакой чепухи. Тайрон Бааш, ЧП Иллинойс “Вопросы на экзамене были наводящими и демонстрировали понимание материала. Тщательный и всеобъемлющий. “ Майкл Тобин, P.E. Аризона моя линия работы. Я обязательно воспользуюсь этим сайтом снова.” Анджела Уотсон, ЧП Монтана “Простота исполнения. Никакой путаницы при подходе к сдаче теста или записи сертификата.” Кеннет Пейдж, ЧП Мэриленд «Это был отличный источник информации о нагревании воды с помощью солнечной энергии. Луан Мане, ЧП Conneticut “Мне нравится подход, позволяющий зарегистрироваться и иметь возможность читать материалы в автономном режиме, а затем вернуться, чтобы пройти тест. Алекс Млсна, ЧП Индиана “Я оценил количество информации, предоставленной для класса. Я знаю Это вся информация, которую я могу ИСПОЛЬЗОВАНИЕ В реальных Жизненные ситуации ». South Dkota Deringer, P.E. South Dakota
”
0658
Хороший опыт.”
”
курс.”0658
“Веб -сайт прост в использовании, вы можете загрузить материал для изучения, затем вернуться
и пройти тест. .”
Майкл Гладд, ЧП
Грузия
“Спасибо за хорошие курсы на протяжении многих лет.”
Деннис Фундзак, ЧП
Огайо
“Очень легко зарегистрироваться, получить доступ к курсу, пройти тест и распечатать сертификат PDH
.
Спасибо, что сделали этот процесс простым.”
Фред Шайбе, ЧП
Висконсин
“Положительный опыт. Быстро нашел курс, который соответствовал моим потребностям, и закончил
один час PDH за
one hour.”
Steve Torkildson, P.E.
South Carolina
“I liked being able to download the documents for review of content
and suitability, before
иметь для оплаты
материалов .”
Richard Wymelenberg, P.E.0005 “Это хорошее пособие по ЭЭ для инженеров, не являющихся электриками.” Дуглас Стаффорд, ЧП Техас “Всегда есть возможности для улучшения, но я не могу придумать ничего в вашем процессе, который нуждается в улучшении. Томас Сталкап, ЧП Арканзас “Мне очень нравится удобство прохождения онлайн-викторины и немедленное получение сертификата .” Марлен Делани, ЧП Иллинойс “Обучающие модули CEDengineering – очень удобный способ доступа к информации по многим различным техническим областям .
Новые номера деталей
Посмотреть все номера деталей Шариковые подшипники являются наиболее распространенными и наиболее часто используемыми устройствами на рынке, поскольку они способны выдерживать осевые и радиальные нагрузки. Его главной особенностью является скорость вращения, которая выше, чем у других типов подшипников. Fersa предлагает следующие типы шарикоподшипников: Новые номера деталей
Посмотреть все номера деталей Радиальные шарикоподшипники состоят из внутреннего и наружного колец, а также сепаратора с прецизионным набором шариков. Эти подшипники в основном предназначены для восприятия радиальных и осевых нагрузок в любом направлении и допускают работу на относительно высоких скоростях. Технические размеры соответствуют стандарту ISO 15. Кроме того, они соответствуют размерам канавки под стопорное кольцо, указанным в стандарте ISO 464. Новые номера деталей
Посмотреть все номера деталей Fersa производит специальные шарико-роликовые подшипники, предназначенные для определенных применений, и зарегистрированы в номенклатуре F 18000. Наиболее популярными областями применения подшипников этого типа являются коробки передач различных типов транспортных средств. Новые номера деталей
Посмотреть все номера деталей Двухрядные радиально-упорные шарикоподшипники могут выдерживать большие радиальные нагрузки в обоих направлениях, поскольку линия действия нагрузок образует угол на оси подшипника. Это семейство обозначено номенклатурой F 16000. Эта типология в основном применяется для колес легковых автомобилей, поэтому мы полагаемся на специальные каталожные номера, внешнее кольцо которых имеет конструктивные изменения, чтобы улучшить его интеграцию с конечным приложением. Новые номера деталей
Посмотреть все номера деталей Радиально-упорные шарикоподшипники имеют фундаментальную особенность, заключающуюся в том, что линия действия нагрузки между шариками и дорожками качения образует угол с геометрической осью подшипника. Новые номера деталей
Посмотреть все номера деталей Четырехточечные радиально-упорные шарикоподшипники состоят из одного радиального ряда и предназначены для восприятия осевых нагрузок в обоих направлениях. Радиальная нагрузка может быть адаптирована к определенному уровню осевой нагрузки. Поскольку эти подшипники требуют меньшего осевого пространства, они являются очень привлекательным выбором, если у вас ограниченное пространство. Новые номера деталей
Посмотреть все номера деталей Это двухрядные шарикоподшипники, предназначенные для работы на высоких скоростях вращения и с низким уровнем шума, технически отличающиеся тем, что состоят из одного внутреннего кольца. Новые номера деталей
Посмотреть все номера деталей Упорные шарикоподшипники могут воспринимать большие осевые нагрузки в одном направлении, требуя минимальной осевой нагрузки для оптимальной работы. Подшипники являются съемными, что упрощает сборку, поскольку шайба, шарик и сепаратор могут быть установлены отдельно. Новые номера деталей
Посмотреть все номера деталей Подшипники выключения сцепления являются самоустанавливающимися подшипниками. Они предназначены для управления определенными состояниями сцепления, связанными с несоосностью компонентов. Подшипники упираются в пружину сцепления для соединения-отключения двигателя от трансмиссии и управления проводником для работы педали сцепления.
” 8 вне 80657 Специальная специализация без 
Радиальные шарикоподшипники
Специальные шарикоподшипники

Специальный двухрядный угловой контакт
Стандартный двухрядный угловой контакт
По этой причине дорожки качения внутреннего и наружного колец смещены относительно друг друга в осевом направлении, что позволяет выдерживать большие радиальные нагрузки в обоих направлениях. Четырехточечный угловой контакт
Подшипники кондиционера
Они входят в номенклатуру F 16000. Упорные шарикоподшипники
Подшипники выключения сцепления


6
5
Посадки.
Типы и основные размеры.
Основные размеры.
Ролики цилиндрические короткие. Технические условия.
Основные размеры.
Технические условия.


В основную, часто используемую группу входят – 1, 4 и 7. Остальные нужно сверять по документу РД ВНИПП.021-01.

20
серия 1) 
B S 3) 
series 1) 
Классия

6

0714 Классы 5, 4 級

4)
4)
0056 lower




1
1
1
1)
1