Труба прямоугольная нержавеющая сортамент: Труба нержавеющая профильная – цена, сортамент, купить квадратные и прямоугольные трубы из нержавейки
alexxlab | 18.02.2023 | 0 | Разное
Труба нержавеющая профильная: качественные показатели и виды
Труба профильная из нержавеющей стали – это пустотелое трубное изделие разнообразной формы сечения. Трубный прокат обладает основными характеристиками стали, такими как прочность, устойчивость к появлению коррозии, высокая степень надежности. Сочетание заявленных характеристик с различной формой профилей позволяет применять их в различных сферах промышленности и строительства. Наиболее востребованными стали труба нержавеющая прямоугольная с размерами 40 x 20 и квадратная с размерами 80 x 80.
Профильные трубы из нержавеющей стали являются востребованными во многих отраслях
Основные характеристики
Профильная продукция из нержавеющей стали позволяет легко создавать различные по конфигурации конструкции, благодаря удобству соединения элементов между собой и с поверхностью, где они применяются. Также профильная труба из стали обладает следующими характеристиками:
- стойкость к температурным колебаниям;
- способность выдерживать воздействие высокой температуры;
- высокая устойчивость к механическому воздействию;
- устойчивость к значительным нагрузкам;
- легкость монтажа;
- отсутствие коррозии;
- эстетичность.
Профильная трубная продукция из стали наиболее востребована в строительстве жилых зданий и архитектуре. Например, квадратная и прямоугольная часто необходима для создания конструкций, декоративных элементов зданий, лестниц, перил, фонтанов, мостов. Трубный прокат небольшого и среднего размера используется преимущественно для различных опор, рам и стоек. Квадратная труба большого размера применяется для возведения конструкций, которые подвергаются значительным механическим нагрузкам.
Нержавеющие профильные трубы используются для изготовления перил
Такие изделия не используются для транспортировки жидкостей и газообразных веществ, а потому герметичность не играет значительной роли. Для больших нагрузок предназначен более дорогой толстостенный трубопровод.
Если говорить о стоимости и частоте применения профильной продукции, то прямоугольная в отдельных случаях стоит дешевле и используется чаще, чем квадратная.
Классификации проката
Профильная труба классифицируется по марке стали, толщине стенок, длине профиля и форме сечения. Именно последний параметр является во многом определяющим и позволяет подобрать оптимальные изделия для выполнения поставленных задач.
Профильная труба по форме сечения бывает:
- квадратная;
- прямоугольная;
- овальная.
Производство каждой формы трубы регулируется своим ГОСТом
Изготовление изделий с квадратным сечением и их полный сортамент регулируется ГОСТ 8639-82. В соответствии с нормативным документом размеры профиля могут составлять от 15 х 15 до 300 х 300 мм. Для их производства используются горячекатаные ленты. Квадратная форма профиля обеспечивает его повышенную устойчивость и быстрые сроки монтажа конструкций любой сложности.
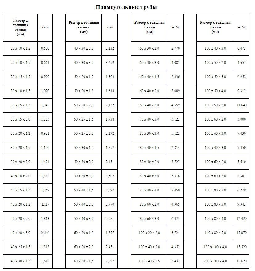
Сортамент прямоугольных профилей регулируется по ГОСТ 8645-68. Изготавливаются они аналогично квадратным. В зависимости от размеров сечения выделяют такие группы:
- Мелкие: от 20 х 10 до 50 х 40 мм.
- Средние: от 60 х 30 до 120 х 80 мм.
- Крупные: от 140 х 60 до 200 х 100 мм.
Профили прямоугольной формы используются при монтаже опорных конструкций, каркасов, колонн, строительных балок перекрытий. К изделиям общего назначения не выдвигаются повышенные требования в отношении их поверхностного качества.
Нержавеющие трубы овальной формы являются более сложными для производства
В последнее время довольно востребованными стали профили сложной формы, которые производятся по стандартной технологии. Чаще всего на рынке металлопроката встречается овальная форма или арочный профиль. Он довольно сложен в производстве, но наделен особыми качественными характеристиками. Овальная профильная труба изготавливается по ГОСТ 8644-68. Пластичность, прочность и разнообразный сортамент позволяют применять овальную профильную продукцию для каркасных металлоконструкций. Изделия можно легко согнуть, придав им необходимую форму.
Особенности изделий с круглым сечением
Эксплуатация профильных изделий в системах коммуникации ограничена. Они недостаточно стойки к внутренним нагрузкам, которые являются нормой для водопровода. В безнапорных системах трубопровод квадратного и прямоугольного сечения также не применяется, поскольку наличие углов значительно снижает пропускную способность. Для таких целей используется круглая нержавеющая труба.
Нержавеющие трубы круглой формы востребованы во многих отраслях
Кроме того, круглая форма трубопровода стала незаменимой в устройстве дымоходов. Высоко ценится ее способность выдерживать значительные температурные нагрузки, низкий коэффициент шероховатости, высокая пропускная способность. Также часто применяется при строительстве ограждений, декоративных конструкций.
Круглая труба из нержавейки может производиться по двум основным технологиям:
- бесшовным методом;
- сварным методом.
Бесшовная круглая труба отличается равными показателями прочности по всей длине. Для ее изготовления необходимы горячие или холодные заготовки, которые вытягиваются на специальных станках. Сортамент такой продукции определяется по ГОСТ 8731-78. Круглая труба, изготовленная по бесшовной технологии, имеет, как правило, меньший диаметр. Используется чаще всего в химической и нефтяной отраслях промышленности, где к качеству и надежности трубопровода предъявляются повышенные требования.
Круглый профиль изготавливается на различным технологиях
Электросварная круглая труба в свою очередь разделяется на прямошовную и спиралешовную. Такая продукция имеет более доступную стоимость и используется преимущественно в машиностроении, при строительстве дорог и систем коммуникации. Спиралешовные изделия в зависимости от сферы применения разделяются на несколько групп:
- общего назначения;
- специального назначения;
- магистральные;
- нефтегазопроводные.
Минимальный диаметр составляет 530, а максимальный – 1420 мм. Прямошовные изделия из нержавеющей стали включают дополнительную группу водогазопроводного трубопровода, изготавливаемого по ГОСТ 3262-75.
Сварка нержавеющей стали
Труба нержавейка шлифованная в наличии на складе в Нижнем Новгороде, звоните 8 (831) 213-68-28
Подбор по параметрам
Труба нержавеющая шлифованная 20×1.2 мм, квадратная, вес 1 метра 0.69 кг, цена за метр | 130 Р | ||
Труба нержавеющая шлифованная 20x10x1.5 мм, прямоугольная, вес 1 метра 0.61 кг, цена за метр | 128 Р | ||
Труба нержавеющая шлифованная 25×2 мм, квадратная, вес 1 метра 1.![]() | 278 Р | ||
Труба нержавеющая шлифованная 30×1.5 мм, квадратная, вес 1 метра 1.31 кг, цена за метр | 220 Р | ||
Труба нержавеющая шлифованная 40×1.5 мм, квадратная, вес 1 метра 1.78 кг, цена за метр | 370 Р | ||
Труба нержавеющая шлифованная 40x20x1.![]() | 183 Р | ||
Труба нержавеющая шлифованная 40x20x2 мм, прямоугольная, вес 1 метра 1.70 кг, цена за метр | 426 Р | ||
Труба нержавеющая шлифованная 50.8×1.5 мм, круглая, длина 6 м, вес 1 метра 1.82 кг, цена за тонну | 291,545 Р | ||
Труба нержавеющая шлифованная 88.![]() | 323,994 Р | ||
Труба нержавеющая шлифованная 101.6×2 мм, круглая, длина 6 м, вес 1 метра 4.91 кг, цена за тонну | 372,724 Р | ||
Труба нержавеющая шлифованная 10×1 мм, круглая, вес 1 метра 0.22 кг, цена за тонну | 617,400 Р | ||
Труба нержавеющая шлифованная 10×1.![]() | 271,515 Р | ||
Труба нержавеющая шлифованная 10×1 мм, круглая, длина 6 м, вес 1 метра 0.22 кг, цена за тонну | 341,725 Р | ||
Труба нержавеющая шлифованная 10×1 мм, круглая, длина 2 м, вес 1 метра 0.22 кг, цена за штуку | 185 Р | ||
Труба нержавеющая шлифованная 10×1 мм, круглая, вес 1 метра 0.![]() | 168 Р | ||
Труба нержавеющая шлифованная 10×1 мм, круглая, длина 6 м, вес 1 метра 0.22 кг, цена за метр | 84 Р | ||
Труба нержавеющая 10×1 мм, квадратная, длина 6 м, вес 1 метра 0.27 кг, цена за тонну | 380,147 Р | ||
Труба нержавеющая 10×1.![]() | 793,800 Р | ||
Труба нержавеющая 10×1 мм, квадратная, длина 6 м, вес 1 метра 0.27 кг, цена за штуку | 764 Р | ||
Труба нержавеющая 10×1 мм, квадратная, вес 1 метра 0.27 кг, цена за метр | 129 Р |
Показать ещё 20 из 679
Прямоугольная труба из нержавеющей стали 304
Нажмите, чтобы увеличить
1) Выберите размер:
1) Выберите размер:
Выберите один{{attrValue. value_text}}
2) {{размертекста}}
3) Выберите свой разрез:
- Выбранная ширина = {{widTotal}}”
- Выбранная длина = {{lenTotal}}”
- Каждый вес = {{displayWeight}} фунтов
Каждая цена: ${{Number(displayPrice).toFixed(2).toLocaleString()}}
Цены уточняйте по телефону
Количество: Количество:
Этот товар временно отсутствует на складе
Сообщите мне, когда товар появится в наличии
Цены на этот продукт уточняйте по телефону
Для заказа большего количества свяжитесь с одним из наших менеджеров по работе с клиентами.
Цены могут быть изменены. Цены в магазине могут отличаться от цен на сайте.
- Описание
- Функции
- Характеристики
- Доступные размеры
- Похожие материалы
Описание
Прямоугольная трубка из нержавеющей стали 304 отлично подходит для большинства методов обработки, а также для внутреннего и наружного применения. Этот материал имеет текстурированную тускло-серую отделку с точными размерами по всей длине. Нержавеющая сталь 304 — это высокопрочный материал с отличной коррозионной стойкостью, что делает ее отличным кандидатом для производства автомобилей, структурных опор и скульптур. ASTM A554 является стандартной спецификацией для сварных механических труб из нержавеющей стали.
Характеристики
Сплав
304
ASTM
ASTM A554
Характеристики
904 9000 Хорошая обработка и хорошая сварка. Хорошая коррозионная стойкость.
Технические характеристики
ХИМИЧЕСКИЙ СОСТАВ | |
Элемент | Процент |
С | 0,08 макс.![]() |
Fe | 66.34 – 74 |
Мн | 2 макс. |
Никель | 8 – 10,5 |
П | 0,045 макс. |
С | 0,03 макс. |
Si | 1 макс. |
Кр | 20 |
МЕХАНИЧЕСКАЯ ИНФОРМАЦИЯ | ||
Имперский | Метрическая система | |
Плотность | 0,289 фунта/дюйм3 | 8,0 г/куб.см |
Предел прочности при растяжении | 73 200 фунтов на квадратный дюйм | 310 МПа |
Предел текучести при растяжении | 31 200 psi | 276 МПа |
Точка плавления | 2550–2651°F | 1400 – 1455°С |
Закалка | Отожженный |
Твердость по Роквеллу | Б70 |
Твердость по Бринеллю | 123 |
Указанные химический состав и механические свойства являются приблизительными.![]() Свяжитесь с нами |
Доступные размеры
ДОСТУПНЫЕ РАЗМЕРЫ | ||||
Размер | Внешний диаметр | Толщина стенки | Длина | Масса (фунт/фут) |
1-1/2″ x 1 x 11ga | 1-1/2 х 1″ | 11ga | 240,00″ | 1,929 |
2″ x 1″ x 11ga | 2 х 1 “ | 11ga | 240,00″ | 2.250 |
2″ x 1″ x 16ga | 2 х 1 ” | 16ga | 240,00″ | 1,269 |
3″ x 1″ x 11ga | 3 x 1″ | 11ga | 240,00″ | 3.080 |
3″ x 1-1/2″ x 11ga | 3 x 1-1/2 дюйма | 11ga | 240,00″ | 3,477 |
3″ x 2″ x 11ga | 3 х 2 дюйма | 11ga | 240,00″ | 3,884 |
3″ x 2″ x 3/16″ | 3 х 2 дюйма | 3/16″ | 240,00″ | 5.![]() |
4″ x 2″ x 11ga | 4 х 2 дюйма | 11ga | 240,00″ | 4.700 |
4″ x 2″ x 1/4″ | 4 х 2 дюйма | 1/4″ | 240,00″ | 8.810 |
4″ x 2″ x 3/16″ | 4 х 2 дюйма | 3/16″ | 240,00″ | 6.900 |
4″ x 3″ x 3/16″ | 4 х 3 дюйма | 3/16″ | 240,00″ | 8.127 |
6″ x 2″ x 11ga | 6 х 2 дюйма | 11ga | 240,00″ | 6.260 |
6″ x 2″ x 3/16″ | 6 х 2 дюйма | 3/16″ | 240,00″ | 9.270 |
6″ x 3″ x 3/16″ | 6 х 3 дюйма | 3/16″ | 240,00″ | 10.520 |
6″ x 4″ x 1/4″ | 6 х 4 дюйма | 1/4″ | 240,00″ | 16.350 |
Предупреждение: Этот продукт может подвергнуть вас воздействию химических веществ, включая свинец, которые, как известно в штате Калифорния, вызывают рак и врожденные дефекты или наносят вред репродуктивной системе. Для получения дополнительной информации посетите веб-сайт www.p65Warnings.ca.gov.
Законодательство Калифорнии требует, чтобы предприятия предоставляли четкое и разумное предупреждение клиентам, приобретающим товары в штате Калифорния, прежде чем сознательно или непреднамеренно подвергать их воздействию одного из более чем 800 перечисленных химических веществ или элементов. Это предупреждение требуется, когда компания знает или полагает, что одно или несколько из перечисленных химических веществ или элементов могут присутствовать в их продуктах.
Обратите внимание, что согласно OSHA и федеральным стандартам металлические изделия обычно не считаются опасными в твердой распределенной форме. Испарения или пыль от ЛЮБОГО продукта могут быть опасны для вашего здоровья без надлежащей защиты.
Трубка из полированной нержавеющей стали | Прямоугольные и квадратные трубы
Прямоугольные и квадратные трубы из нержавеющей стали представляют собой жесткие полые трубы с прямоугольным или квадратным поперечным сечением.
Выберите лучший тип трубки из нержавеющей стали для вашего применения
Нержавеющая стальпредставляет собой сплав на основе железа, характеризующийся содержанием хрома не менее 10,5%. В зависимости от марки нержавеющая сталь может также содержать дополнительные легирующие элементы, такие как молибден, никель, алюминий и титан. Эти элементы добавляются в различных пропорциях для улучшения определенных свойств.
Из-за сильного сродства хрома к кислороду на поверхности нержавеющей стали образуется самообновляющийся слой оксида хрома, когда материал подвергается воздействию кислорода. Этот слой оксида хрома действует как барьер, защищающий нижележащий материал от агрессивных элементов окружающей среды. Чем выше доля хрома, тем быстрее может восстановиться коррозионно-стойкий барьер.
В дополнение к присущей ей устойчивости к коррозии нержавеющая сталь обладает следующими преимуществами :
- Высокое соотношение прочности и веса
- Гигиеничная, легко очищаемая поверхность
- Эстетически привлекательный внешний вид
- Устойчив к высоким температурам
- Хорошо поддается резке, формовке, механической обработке и сварке
Трубки из нержавеющей стали марки
Нержавеющая сталь доступна более чем в 200 марках, начиная от широко используемых аустенитных марок и заканчивая более специализированными низкоуглеродистыми ферритными марками с высоким содержанием хрома. Несмотря на большое разнообразие доступных марок, 304 и 316 продолжают оставаться наиболее часто используемыми марками для изготовления труб, пластин и других изделий из нержавеющей стали. Хотя обе эти марки классифицируются как аустенитные стали, каждая из них имеет различные металлургические свойства, которые делают их подходящими для конкретных применений.
- Нержавеющая сталь 304/304L. Нержавеющая сталь 304 — это универсальная и недорогая нержавеющая сталь, обладающая высокой прочностью и коррозионной стойкостью. Относительно высокая доля никеля делает нержавеющую сталь 304 более пластичной и свариваемой, чем многие другие марки. Нержавеющая сталь 304L содержит меньше углерода, чем стандартный сплав 304, что облегчает формование и сварку, но снижает прочность.
- Нержавеющая сталь 316/316L. Нержавеющая сталь 316 содержит более высокую долю молибдена, что повышает ее коррозионную и термостойкость. Эти свойства делают сталь 316 особенно подходящей для использования в суровых и агрессивных условиях на открытом воздухе.
Как низкоуглеродистая версия нержавеющей стали 316, нержавеющая сталь 316L имеет несколько меньшую прочность на растяжение и предел текучести, но лучше поддается процессу сварки.
Общие приложения
В то время как трубы из нержавеющей стали с более толстыми стенками прочнее и лучше подходят для конструкционных применений с высокими нагрузками, трубы из нержавеющей стали идеально подходят для декоративных или архитектурных применений, которые выигрывают от более легкого и менее дорогого решения. Обычно используются трубки из нержавеющей стали:
.- Архитектурное структурирование
- Перила и лестницы
- Оборудование для пищевой промышленности
- Морское применение
- Автомобильные компоненты
- Системы обработки жидкостей
Пример проекта – Декоративные крышки колонн из полированной нержавеющей стали
AAA Metals в партнерстве с клиентом из сферы розничной торговли изготовила 24 декоративных покрытия для колонн из нержавеющей стали 14-го калибра. Эти трубки диаметром 8 дюймов с яркой отражающей поверхностью были разработаны, чтобы передать высококачественную современную эстетику, обеспечивая при этом простую в уходе поверхность. Их безупречная отделка была достигнута за счет тщательного удаления окалины с горячекатаной отожженной и травленой поверхности, затем шлифовки сварного шва и использования неметаллических абразивов для получения полированной поверхности Ra 32.
Используя наши разнообразные навыки изготовления и полировки металлов, мы преодолели проблемы, связанные с тонкими стенками труб и овальностью поперечного сечения крышек колонн. Это потребовало тщательной оптимизации нескольких деталей, от выбора наиболее подходящих расходных материалов до использования правильных методов шлифовки и полировки. Тестер поверхности с алмазным наконечником использовался для измерения шероховатости и проверки того, что отделка соответствует спецификациям заказчика.
AAA Metals, ваш надежный поставщик труб из нержавеющей стали
Предлагая возможности обработки и полировки нержавеющей стали в одном месте, AAA Metals работает с клиентами в нескольких отраслях, создавая трубы из нержавеющей стали на заказ для различных проектов. Бесшовный и полированный внешний вид наших трубных изделий делает их идеальными для применения в декоративной архитектуре и инфраструктуре. За счет поиска высококачественных исходных материалов и тщательной резки, шлифовки и полировки труб в соответствии с требуемыми характеристиками мы гарантируем, что конечный продукт будет соответствовать эстетическим и техническим требованиям заказчика.
Услуги по полировке нержавеющей стали
Полировка металла — это процесс сглаживания поверхности изготовленной металлической детали для подготовки ее к применению по назначению. Для труб и трубопроводов из нержавеющей стали полировка внутренних и внешних поверхностей имеет решающее значение для устранения небольших трещин или щелей, в которых могут скапливаться бактерии или другие загрязняющие вещества. Гладкая полированная поверхность также продлевает срок службы труб и трубопроводов из нержавеющей стали.
Хотя полировать нержавеющую сталь по своей природе сложно, компания AAA Metals обладает опытом и навыками для получения гладкой поверхности без дефектов на различных трубах из нержавеющей стали. Требуемый стандарт отделки обычно определяет типы используемых абразивов и количество шагов, необходимых для завершения процесса полировки. Чтобы избежать повреждения поверхности, мы постепенно увеличиваем гладкость отделки, используя абразивы с зернистостью от 50 до 3000.
Наши возможности изготовления труб квадратного и прямоугольного сечения
AAA Metals может формовать и полировать квадратные и прямоугольные трубы из нержавеющей стали, чтобы они соответствовали практически любой спецификации. Наши специальные возможности трубок включают:
- Марки нержавеющей стали. 304, 304L, 316 и 316L
- Варианты отделки. Mill Finish, Grit Pol и Pol & Buff
- Трубки из других материалов. Алюминий, бронза и латунь
- Полированный (как показано)
Свяжитесь с нами, если вам нужны нестандартные трубки!
Трубы из нержавеющей стали, от не требующих особого ухода перил до декоративных покрытий колонн, являются экономичным и долговечным решением как для структурных, так и для эстетических применений.